Modun của số phức là một khái niệm quan trọng trong toán học, đặc biệt là trong chương trình học về số phức. Hiểu rõ về định nghĩa, công thức tính và các tính chất của modun sẽ giúp các bạn giải quyết các bài toán liên quan một cách hiệu quả. Bài viết này sẽ cung cấp cái nhìn tổng quan và chi tiết về modun của số phức, bao gồm các công thức, tính chất và ví dụ minh họa.
Tổng quan về số phức modun
Để hỗ trợ việc học tập và ôn luyện, bạn có thể tải về tài liệu tổng hợp lý thuyết về modun và số phức modun. Tài liệu này rất hữu ích cho việc ôn thi đại học.
TÓM TẮT
1. Lý thuyết về Modun và Modun của Số Phức
1.1. Định nghĩa Modun của Số Phức
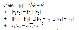
Modun của số phức $z = a + bi$ (với $a, b$ là các số thực) có thể được hiểu là độ dài của vectơ biểu diễn số phức đó trên mặt phẳng tọa độ. Một cách chính xác hơn, modun của số phức $z = a + bi$ là căn bậc hai số học không âm của $a^2 + b^2$. Ví dụ, với số phức $3 + 4i$, modun của nó là $sqrt{3^2 + 4^2} = sqrt{9 + 16} = sqrt{25} = 5$. Giá trị tuyệt đối của một số thực cũng chính là modun của số thực đó khi xem nó như một số phức có phần ảo bằng 0.
Công thức tính modun của số phức
Về mặt hình học, số phức $z = a + bi$ được biểu diễn bởi điểm $M(a, b)$ trên mặt phẳng tọa độ $Oxy$. Khi đó, modun của $z$ chính là độ dài của đoạn thẳng $OM$. Modun của $z$ luôn là một số thực không âm và chỉ bằng 0 khi $z=0$.
Biểu diễn hình học của mô đun số phức
1.2. Tính chất của Modun Số Phức
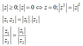
Modun của số phức có những tính chất quan trọng sau:
-
Hai số phức đối nhau có cùng modun: $|z| = |-z|$.
-
Hai số phức liên hợp có cùng modun: $|a + bi| = |a – bi|$.
-
Modun của $z$ bằng 0 khi và chỉ khi $z=0$.
-
Tích của một số phức và số phức liên hợp của nó bằng bình phương modun của nó: $z cdot bar{z} = |z|^2$.
-
Modun của một tích bằng tích các modun: $|z_1 cdot z_2| = |z_1| cdot |z_2|$.
-
Modun của một thương bằng thương các modun (với mẫu khác 0): $|frac{z_1}{z_2}| = frac{|z_1|}{|z_2|}$.
1.3. Bất đẳng thức Modun của Số Phức
Dựa trên tính chất độ dài đoạn thẳng và bất đẳng thức tam giác trong hình học, ta có các bất đẳng thức modun quan trọng sau:
- $|z_1 + z_2| le |z_1| + |z_2|$. Dấu bằng xảy ra khi $z_1$ và $z_2$ cùng hướng (tức là $z_1 = kz_2$ hoặc $z_2 = kz_1$ với $k ge 0$).
Biểu diễn hình học của bất đẳng thức tam giác cho số phức
-
$|z_1 – z_2| le |z_1| + |z_2|$.
-
$|z_1 – z_2| ge ||z_1| – |z_2||$. Dấu bằng xảy ra khi $z_1$ và $z_2$ cùng hướng.
Biểu diễn hình học của bất đẳng thức modun số phức
- $|z_1 – z_2| ge |z_1| – |z_2|$ và $|z_1 – z_2| ge |z_2| – |z_1|$, suy ra $|z_1 – z_2| ge ||z_1| – |z_2||$.
Đăng ký ngay để nhận được sự hỗ trợ từ đội ngũ giáo viên VUIHOC, xây dựng lộ trình ôn thi Toán THPT Quốc Gia hiệu quả và sớm nhất!
[
2. Phương pháp Giải Bài tập Tính Modun của Số Phức
2.1. Công thức Tính Modun
Để giải các bài toán liên quan đến modun của số phức, việc nắm vững công thức là vô cùng cần thiết. Công thức tổng quát cho modun của số phức $z = a + bi$ là:
Kết quả: Với mọi số phức $z in mathbb{C}$, ta có: $|z| ge 0$.
Mối quan hệ giữa modun và số phức
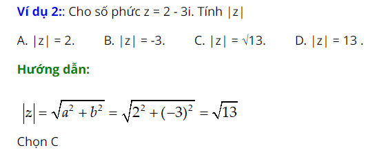
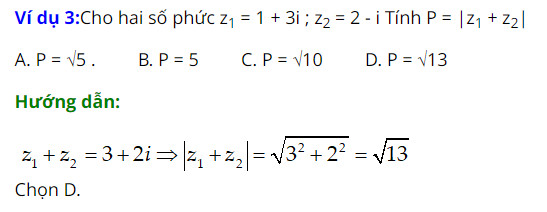
2.2. Ví dụ Minh Họa
Để hiểu rõ hơn về cách áp dụng các công thức và tính chất, chúng ta cùng xem xét các ví dụ minh họa sau đây về bài tập tính modun của số phức:
Ví dụ minh họa về số phức và modun
Ví dụ minh họa về số phức và modun
Ví dụ minh họa về số phức và modun
Ví dụ minh họa về số phức và modun
3. Bài tập Luyện tập về Modun Số Phức
Việc thực hành giải các bài tập về modun số phức là cách hiệu quả nhất để củng cố lý thuyết và nâng cao kỹ năng giải toán. VUIHOC đã tổng hợp một bộ bài tập đa dạng về chủ đề này, bạn có thể tải về để luyện tập thêm.
PAS VUIHOC – GIẢI PHÁP ÔN LUYỆN CÁ NHÂN HÓA
Khóa học online độc quyền:
- Xây dựng lộ trình học tập cá nhân hóa từ mất gốc đến điểm số cao.
- Tự do lựa chọn giáo viên, lớp học và môn học phù hợp với sở thích.
- Tương tác hai chiều hiệu quả với giáo viên.
- Học lại không giới hạn cho đến khi nắm vững kiến thức.
- Trang bị các kỹ năng và mẹo làm bài thi hiệu quả.
- Nhận bộ tài liệu độc quyền trong suốt quá trình học.
Đăng ký học thử miễn phí ngay hôm nay!
[
Xem thêm các bài viết liên quan:
Lý thuyết số phức và cách giải các dạng bài tập cơ bản
Tổng ôn tập số phức – full lý thuyết và bài tập








