Lượng giác là một mảng kiến thức quan trọng trong chương trình Toán lớp 11, đặc biệt là đối với học sinh theo học bộ sách Kết nối tri thức. Việc nắm vững các công thức lượng giác không chỉ giúp giải quyết tốt các bài tập trong sách giáo khoa mà còn là nền tảng vững chắc cho các kiến thức nâng cao hơn. Bài viết này sẽ cung cấp một cái nhìn tổng quan, chi tiết về các công thức lượng giác cơ bản, kèm theo ví dụ minh họa và bài tập thực hành, giúp bạn chinh phục hiệu quả chủ đề này.
TÓM TẮT
I. Công Thức Lượng Giác Cơ Bản
Nắm vững các công thức lượng giác là bước đầu tiên để làm chủ mảng kiến thức này. Dưới đây là các nhóm công thức chính:
1. Công Thức Cộng
Công thức cộng là nền tảng để suy ra nhiều công thức lượng giác quan trọng khác. Chúng giúp tính giá trị lượng giác của một góc dưới dạng tổng hoặc hiệu của hai góc.
-
Công thức:
cos (a – b) = cosa cosb + sina sinbcos (a + b) = cosa cosb – sina sinbsin (a – b) = sina cosb – cosa sinbsin (a + b) = sina cosb + cosa sinbtan (a-b) = tana−tanb1+tanatanbtan (a+b) = tana+tanb1-tanatanb
(Giả thiết các biểu thức đều có nghĩa)
-
Ví dụ: Tính giá trị của
sin(15°)vàtan(15°).sin15° = sin(45° - 30°) = sin45°cos30° - cos45°sin30° = (√2/2)(√3/2) - (√2/2)(1/2) = (√6 - √2)/4.tan15° = tan(45° - 30°) = tan45° - tan30° / (1 + tan45°tan30°) = (1 - 1/√3) / (1 + 1/√3) = (√3 - 1) / (√3 + 1) = (√3 - 1)² / ((√3 + 1)(√3 - 1)) = (3 - 2√3 + 1) / (3 - 1) = (4 - 2√3) / 2 = 2 - √3.
2. Công Thức Nhân Đôi
Công thức nhân đôi giúp tính giá trị lượng giác của một góc gấp đôi một góc cho trước. Đây là trường hợp đặc biệt của công thức cộng khi a = b.
-
Công thức:
sin2a = 2sina cosacos2a = cos²a – sin²a = 2cos²a – 1 = 1 – 2sin²atan2a = 2tana / (1−tan²a)
-
Công thức hạ bậc suy ra từ công thức nhân đôi:
cos²a = (1 + cos2a) / 2sin²a = (1 - cos2a) / 2
-
Ví dụ: Cho
sinα = 2/5và0 < α < π/2. Tínhsin2α,cos2α, vàtan2α.- Vì
0 < α < π/2,cosα > 0. Ta cócos²α = 1 - sin²α = 1 - (2/5)² = 1 - 4/25 = 21/25. Suy racosα = √21 / 5. sin2α = 2sinα cosα = 2 * (2/5) * (√21 / 5) = 4√21 / 25.cos2α = 1 - 2sin²α = 1 - 2 * (2/5)² = 1 - 2 * (4/25) = 1 - 8/25 = 17/25.tanα = sinα / cosα = (2/5) / (√21 / 5) = 2 / √21.tan2α = 2tanα / (1 - tan²α) = 2 * (2/√21) / (1 - (2/√21)²) = (4/√21) / (1 - 4/21) = (4/√21) / (17/21) = (4√21 / 21) * (21/17) = 4√21 / 17.
- Vì
3. Công Thức Biến Đổi Tích Thành Tổng
Các công thức này giúp chuyển đổi các biểu thức tích của các hàm lượng giác thành tổng hoặc hiệu, tạo điều kiện thuận lợi cho việc rút gọn hoặc tính toán.
-
Công thức:
cos a cos b = 1/2 [cos(a - b) + cos(a + b)]sin a sin b = 1/2 [cos(a - b) - cos(a + b)]sin a cos b = 1/2 [sin(a - b) + sin(a + b)]
-
Ví dụ: Tính giá trị của biểu thức:
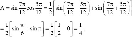
- a)
A = sin(7π/12)cos(5π/12)A = 1/2 [sin(7π/12 - 5π/12) + sin(7π/12 + 5π/12)] = 1/2 [sin(2π/12) + sin(12π/12)] = 1/2 [sin(π/6) + sin(π)] = 1/2 [1/2 + 0] = 1/4.
Minh họa công thức lượng giác
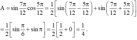
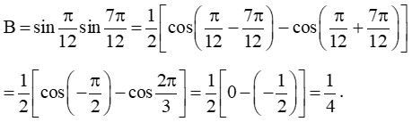
- b)
B = sin(π/12)sin(7π/12)B = 1/2 [cos(π/12 - 7π/12) - cos(π/12 + 7π/12)] = 1/2 [cos(-6π/12) - cos(8π/12)] = 1/2 [cos(-π/2) - cos(2π/3)] = 1/2 [0 - (-1/2)] = 1/4.
Minh họa công thức lượng giác
- a)
4. Công Thức Biến Đổi Tổng Thành Tích
Ngược lại với công thức biến đổi tích thành tổng, các công thức này giúp chuyển đổi tổng hoặc hiệu của các hàm lượng giác thành dạng tích, hữu ích cho việc phân tích nhân tử hoặc đơn giản hóa biểu thức.
-
Công thức:
cos u + cos v = 2 cos((u+v)/2) cos((u-v)/2)cos u - cos v = -2 sin((u+v)/2) sin((u-v)/2)sin u + sin v = 2 sin((u+v)/2) cos((u-v)/2)sin u - sin v = 2 cos((u+v)/2) sin((u-v)/2)
-
Ví dụ: Cho
A = cos(π/17)cos(4π/17)vàB = cos(3π/17) + cos(5π/17). Tính giá trị của biểu thứcAB.- Áp dụng công thức biến đổi tổng thành tích cho B:
B = 2 cos((3π/17 + 5π/17)/2) cos((3π/17 - 5π/17)/2)
B = 2 cos(8π/34) cos(-2π/34)
B = 2 cos(4π/17) cos(-π/17)
B = 2 cos(4π/17) cos(π/17)(docos(-x) = cos(x)) - Do đó,
AB = cos(π/17)cos(4π/17) * [2 cos(4π/17) cos(π/17)] = 2 [cos(π/17) cos(4π/17)]². - Xem lại ví dụ gốc, có lẽ đề bài hoặc cách giải có sự nhầm lẫn. Tuy nhiên, theo cách tính của ví dụ:
B = cos(3π/17) + cos(5π/17) = 2cos(4π/17)cos(π/17).
Suy raAB = cos(π/17)cos(4π/17) / [2 cos(4π/17) cos(π/17)] = 1/2.
- Áp dụng công thức biến đổi tổng thành tích cho B:
II. Bài Tập Vận Dụng
Để củng cố kiến thức, việc luyện tập giải các bài tập vận dụng là vô cùng cần thiết. Dưới đây là một số bài tập tiêu biểu:
Bài 1. Biết cos a = 1/4 và 3π/2 < a < 2π. Tính sin2a và tan2a.
- Vì
3π/2 < a < 2π,sin a < 0. Ta cósin²a = 1 - cos²a = 1 - (1/4)² = 1 - 1/16 = 15/16. Suy rasin a = -√15 / 4. sin2a = 2sin a cos a = 2 * (-√15 / 4) * (1/4) = -√15 / 8.tan a = sin a / cos a = (-√15 / 4) / (1/4) = -√15.tan2a = 2tan a / (1 - tan²a) = 2 * (-√15) / (1 - (-√15)²) = -2√15 / (1 - 15) = -2√15 / (-14) = √15 / 7.
Bài 2. Tính:
-
a)
sin(a + π/3)biếtsin a = 3/4và0 < a < π/2.-
Vì
0 < a < π/2,cos a > 0. Ta cócos²a = 1 - sin²a = 1 - (3/4)² = 1 - 9/16 = 7/16. Suy racos a = √7 / 4. -
sin(a + π/3) = sin a cos(π/3) + cos a sin(π/3) = (3/4)(1/2) + (√7 / 4)(√3/2) = (3 + √21) / 8. -
b)
cos(3π/8)cos(π/8) + sin(3π/8)sin(π/8).- Đây là dạng
cos(a - b) = cos a cos b + sin a sin bvớia = 3π/8vàb = π/8. - Biểu thức bằng
cos(3π/8 - π/8) = cos(2π/8) = cos(π/4) = √2 / 2.
Minh họa công thức lượng giác
- Đây là dạng
-
Bài 3. Tính:
-
a)
cos(–15°) + cos(255°).cos(-15°) = cos(15°).cos(255°) = cos(270° - 15°) = -sin(15°).- Áp dụng công thức biến đổi tổng thành tích:
cos(15°) + cos(255°) = 2 cos((15° + 255°)/2) cos((15° - 255°)/2)
= 2 cos(270°/2) cos(-240°/2) = 2 cos(135°) cos(-120°)
= 2 * (-√2/2) * (-1/2) = √2 / 2.
-
b)
sin(13π/24)sin(5π/24).- Áp dụng công thức biến đổi tích thành tổng:
sin(13π/24)sin(5π/24) = 1/2 [cos(13π/24 - 5π/24) - cos(13π/24 + 5π/24)]
= 1/2 [cos(8π/24) - cos(18π/24)] = 1/2 [cos(π/3) - cos(3π/4)]
= 1/2 [1/2 - (-√2/2)] = 1/2 * (1/2 + √2/2) = (1 + √2) / 4.
Minh họa công thức lượng giác
- Áp dụng công thức biến đổi tích thành tổng:
III. Lời Khuyên Học Tốt
Để học tốt chủ đề Công thức lượng giác, bên cạnh việc ghi nhớ và hiểu bản chất của các công thức, bạn nên:
- Luyện tập thường xuyên: Giải đa dạng các dạng bài tập từ cơ bản đến nâng cao.
- Liên hệ kiến thức: Hiểu mối liên hệ giữa các nhóm công thức (ví dụ: công thức cộng, nhân đôi, hạ bậc).
- Sử dụng công cụ hỗ trợ: Các ứng dụng học tập có thể cung cấp bài giảng, bài tập và lời giải chi tiết, giúp bạn học tập hiệu quả hơn.
Bằng việc nắm vững lý thuyết và chăm chỉ luyện tập, bạn hoàn toàn có thể chinh phục được mảng kiến thức quan trọng này trong chương trình Toán lớp 11.
[
[








