Chào mừng các bạn đến với chuyên trang Hóa Học Phổ Thông. Dù là một website chuyên sâu về hóa học, chúng tôi luôn thấu hiểu rằng để đạt điểm cao trong kỳ thi THPT Quốc gia, các em học sinh cần trang bị nền tảng vững chắc ở tất cả các môn khoa học tự nhiên. Trong chương trình Toán học lớp 12, phương trình mặt cầu thuộc chuyên đề hình học không gian Oxyz luôn là một phần kiến thức trọng tâm, thường xuyên xuất hiện với nhiều mức độ khác nhau trong đề thi. Bài viết dưới đây sẽ hệ thống hóa lại toàn bộ lý thuyết cơ bản và hướng dẫn chi tiết các phương pháp giải quyết từng dạng bài tập từ cơ bản đến nâng cao.
TÓM TẮT
- 1 Khái Niệm Cơ Bản Về Mặt Cầu Trong Không Gian
- 2 Các Dạng Phương Trình Mặt Cầu Thường Gặp Nhất
- 3 Mối Quan Hệ Giữa Mặt Cầu Và Các Yếu Tố Khác Trong Không Gian
- 4 Phân Loại Về 7 Dạng Bài Tập Phương Trình Mặt Cầu Điển Hình
- 4.1 Dạng 1: Lập phương trình khi biết tọa độ tâm và bán kính
- 4.2 Dạng 2: Viết phương trình khi biết tâm và một điểm đi qua
- 4.3 Dạng 3: Xác định phương trình mặt cầu ngoại tiếp tứ diện
- 4.4 Dạng 4: Viết phương trình khi biết 3 điểm đi qua và tâm thuộc một mặt phẳng
- 4.5 Dạng 5: Viết phương trình mặt cầu đi qua 4 điểm bất kỳ
- 4.6 Dạng 6: Lập phương trình khi biết đường kính của mặt cầu
- 4.7 Dạng 7: Bài toán định m để phương trình cho trước là phương trình mặt cầu
Khái Niệm Cơ Bản Về Mặt Cầu Trong Không Gian
Trước khi tìm hiểu cách thiết lập phương trình, chúng ta cần hiểu rõ bản chất của mặt cầu trong không gian. Theo định nghĩa hình học không gian, mặt cầu là tập hợp tất cả các điểm cách đều một điểm cố định cho trước một khoảng không đổi. Điểm cố định đó chính là tâm của mặt cầu, và khoảng cách không đổi được gọi là bán kính.
Về mặt hình học tròn xoay, mặt cầu cũng có thể được hình thành khi ta quay một nửa đường tròn quanh trục là đường kính của nó. Việc hiểu rõ bản chất này giúp học sinh có tư duy không gian tốt hơn khi giải quyết các bài toán phức tạp.
Banner giới thiệu giải pháp ôn thi THPT Quốc gia môn Toán
Để biểu diễn toán học cho tập hợp các điểm này trong hệ tọa độ Oxyz, chúng ta sử dụng phương trình mặt cầu. Việc nắm vững các dạng phương trình là bước đầu tiên để chinh phục điểm số tối đa.
Các Dạng Phương Trình Mặt Cầu Thường Gặp Nhất
Trong hệ trục tọa độ Oxyz, phương trình mặt cầu được chia thành hai dạng biểu diễn chính. Tùy thuộc vào giả thiết của đề bài, học sinh cần linh hoạt chọn dạng phương trình phù hợp để tối ưu hóa thời gian tính toán.
Phương Trình Mặt Cầu Dạng Chính Tắc
Đây là dạng cơ bản nhất và dễ hình dung nhất. Nếu một mặt cầu (S) có tâm I(a; b; c) và bán kính R, phương trình chính tắc của nó sẽ được viết dưới dạng bình phương của các hiệu số:
(x – a)² + (y – b)² + (z – c)² = R²
Ưu điểm của phương trình này là chỉ cần nhìn vào, ta có thể ngay lập tức xác định được tọa độ tâm và độ dài bán kính của mặt cầu đó.
Phương Trình Mặt Cầu Dạng Tổng Quát
Khi khai triển phương trình chính tắc, ta sẽ thu được phương trình dạng tổng quát:
x² + y² + z² – 2ax – 2by – 2cz + d = 0
Tuy nhiên, không phải phương trình bậc hai nào có dạng trên cũng là phương trình mặt cầu. Điều kiện bắt buộc để phương trình này biểu diễn một mặt cầu (S) là: a² + b² + c² – d > 0. Khi thỏa mãn điều kiện này, mặt cầu sẽ có tâm I(a; b; c) và bán kính R = √(a² + b² + c² – d).
Mối Quan Hệ Giữa Mặt Cầu Và Các Yếu Tố Khác Trong Không Gian
Trong nhiều bài toán tổng hợp, học sinh sẽ được yêu cầu xét vị trí tương đối giữa mặt cầu với mặt phẳng hoặc đường thẳng. Đây là tiền đề để giải quyết các bài toán tìm điểm tiếp xúc hay tính diện tích thiết diện.
Tương Giao Giữa Mặt Cầu Và Mặt Phẳng
Cho mặt cầu (S) có tâm I và bán kính R, cùng một mặt phẳng (P). Để xét vị trí tương đối, ta tính khoảng cách d từ tâm I đến mặt phẳng (P).
Nếu d > R, mặt phẳng không cắt mặt cầu. Nếu d < R, mặt phẳng cắt mặt cầu theo giao tuyến là một đường tròn. Trường hợp đặc biệt nhất là khi d = R, mặt phẳng (P) được gọi là tiếp diện của mặt cầu, chạm vào mặt cầu tại duy nhất một điểm gọi là tiếp điểm.
Điều Kiện Tiếp Xúc Với Đường Thẳng
Tương tự như với mặt phẳng, nếu khoảng cách từ tâm I của mặt cầu đến một đường thẳng d đúng bằng bán kính R, đường thẳng đó sẽ tiếp xúc với mặt cầu. Khi đó, hình chiếu vuông góc của tâm I lên đường thẳng chính là tiếp điểm.
Phân Loại Về 7 Dạng Bài Tập Phương Trình Mặt Cầu Điển Hình
Để giúp các em áp dụng lý thuyết vào thực chiến, Hóa Học Phổ Thông đã tổng hợp 7 dạng bài tập điển hình nhất, bao trùm toàn bộ các câu hỏi có thể xuất hiện trong đề thi.
Dạng 1: Lập phương trình khi biết tọa độ tâm và bán kính
Đây là dạng bài tập nhận biết cơ bản. Người học chỉ cần xác định rõ tọa độ tâm I(a; b; c) và độ dài bán kính R, sau đó thay trực tiếp vào công thức phương trình chính tắc. Nếu đề bài yêu cầu, có thể khai triển ra dạng tổng quát.
Đề bài ví dụ minh họa phương pháp lập phương trình mặt cầu khi biết đường kính
Để giải quyết ví dụ trên, trước hết chúng ta cần tìm tọa độ trung điểm của đoạn thẳng AB, đó chính là tâm của mặt cầu. Sau đó tính độ dài đoạn AB chia đôi để ra bán kính.
Chi tiết các bước giải bài toán lập phương trình qua đường kính AB
Qua cách giải trên, ta thấy việc linh hoạt sử dụng công thức trung điểm và công thức tính độ dài vector là chìa khóa để xử lý gọn gàng bài toán cơ bản này.
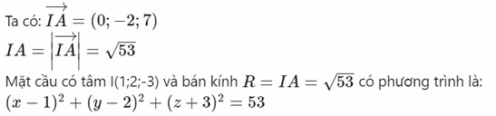
Dạng 2: Viết phương trình khi biết tâm và một điểm đi qua
Ở dạng này, đề bài cho trước tọa độ tâm I và một điểm A nằm trên mặt cầu. Do điểm A thuộc mặt cầu nên khoảng cách từ tâm I đến A chính là bán kính R của mặt cầu đó (R = IA).
Lời giải minh họa cho dạng bài lập phương trình biết tâm và một điểm đi qua
Sau khi áp dụng công thức tính khoảng cách giữa hai điểm trong không gian Oxyz để tìm R, bài toán quay trở về dạng 1 cơ bản và dễ dàng tìm được đáp án cuối cùng.
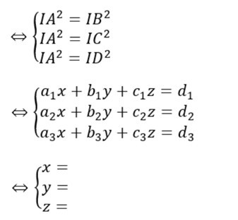
Dạng 3: Xác định phương trình mặt cầu ngoại tiếp tứ diện
Một mặt cầu được gọi là ngoại tiếp tứ diện khi nó đi qua cả 4 đỉnh của tứ diện đó. Để giải quyết, ta gọi tọa độ tâm I(x; y; z) và thiết lập hệ phương trình dựa trên nguyên tắc khoảng cách từ tâm đến 4 đỉnh là bằng nhau (IA = IB = IC = ID).
Sơ đồ tóm tắt phương pháp lập phương trình mặt cầu ngoại tiếp tứ diện
Cách làm này đòi hỏi sự cẩn thận trong việc bình phương hai vế và rút gọn hệ phương trình 3 ẩn. Dưới đây là một ví dụ minh họa cụ thể cho phương pháp này.
Quá trình giải hệ phương trình 3 ẩn để tìm tọa độ tâm mặt cầu
Mặc dù việc tính toán có thể hơi dài, nhưng nếu tuân thủ đúng các bước và cẩn thận với dấu của hệ số, học sinh hoàn toàn có thể nắm trọn điểm số của dạng toán phân loại này.
Dạng 4: Viết phương trình khi biết 3 điểm đi qua và tâm thuộc một mặt phẳng
Với dạng bài này, thay vì có 4 điểm, ta chỉ có 3 điểm thuộc mặt cầu. Bù lại, đề bài cung cấp thêm thông tin tâm I nằm trên một mặt phẳng (P) cho trước.
Phương pháp giải là kết hợp điều kiện tâm thuộc mặt phẳng (thay tọa độ tâm vào phương trình mặt phẳng) cùng với điều kiện khoảng cách IA = IB = IC. Từ đó ta lập được hệ 3 phương trình bậc nhất 3 ẩn.
Lời giải cho bài toán xác định tâm mặt cầu nằm trên mặt phẳng P
Sử dụng máy tính cầm tay để giải hệ phương trình là cách nhanh nhất để đưa ra đáp án chính xác trong trường hợp này, giúp tiết kiệm tối đa thời gian làm bài thi trắc nghiệm.
Khóa học Toán học hỗ trợ ôn luyện kỳ thi THPT Quốc Gia
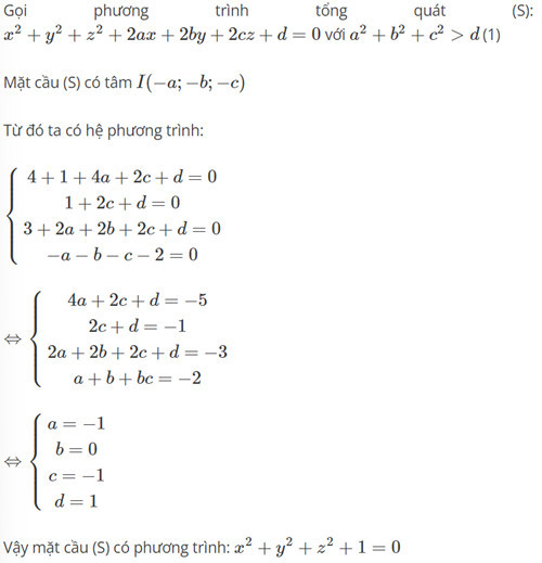
Dạng 5: Viết phương trình mặt cầu đi qua 4 điểm bất kỳ
Thay vì giải bằng phương pháp khoảng cách IA = IB = IC = ID như dạng 3, học sinh có thể sử dụng phương trình tổng quát x² + y² + z² – 2ax – 2by – 2cz + d = 0.
Lần lượt thay tọa độ của 4 điểm vào phương trình tổng quát, ta sẽ thu được một hệ gồm 4 phương trình bậc nhất với 4 ẩn là a, b, c, d.
Giải hệ 4 phương trình bậc nhất để tìm các hệ số của mặt cầu
Việc linh hoạt chuyển đổi giữa cách giải bằng hệ tọa độ khoảng cách và hệ phương trình tổng quát sẽ giúp các em tìm ra hướng đi ngắn gọn nhất tùy theo đặc thù con số của từng bài.
Dạng 6: Lập phương trình khi biết đường kính của mặt cầu
Đây là một biến thể rất quen thuộc. Nếu đề bài yêu cầu lập phương trình mặt cầu có đường kính AB với A và B cho trước, ta thực hiện hai thao tác cơ bản.
Bước 1 là tìm tâm I bằng công thức tọa độ trung điểm của đoạn thẳng AB. Bước 2 là tính độ dài đoạn AB rồi chia 2 để tìm bán kính R.
Ví dụ thực tế về cách lập phương trình mặt cầu khi cho biết tọa độ đường kính
Cách tiếp cận này rất trực diện và hiếm khi gây nhầm lẫn. Việc cần làm duy nhất là cẩn thận trong khâu cộng trừ tọa độ để không bị sai số đáng tiếc.
Bí kíp chinh phục các bài toán khó trong kỳ thi Đại học
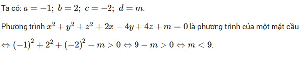
Dạng 7: Bài toán định m để phương trình cho trước là phương trình mặt cầu
Đây thường là câu hỏi thuộc mức độ vận dụng trong đề thi. Đề bài sẽ đưa ra một phương trình bậc hai chứa tham số m và yêu cầu tìm m để phương trình đó biểu thị một mặt cầu.
Cách giải cốt lõi là đưa phương trình về dạng tổng quát, xác định các hệ số a, b, c, d theo m. Sau đó áp dụng điều kiện tiên quyết: a² + b² + c² – d > 0 để giải bất phương trình tìm m.
Cách lập bất phương trình tìm tham số m thỏa mãn điều kiện mặt cầu
Kỹ năng giải bất phương trình bậc hai là yêu cầu bắt buộc ở dạng này. Việc kết luận nghiệm chính xác sẽ định đoạt việc học sinh có lấy trọn vẹn điểm số câu hỏi này hay không.
Thông tin khóa học tư duy trực tuyến với phương pháp hiện đại
Trên đây là toàn bộ những kiến thức nền tảng và 7 dạng bài tập điển hình nhất về phương trình mặt cầu trong không gian tọa độ Oxyz. Việc thành thạo chuyên đề này không chỉ giúp bạn giải quyết tốt các bài toán hình học mà còn rèn luyện tư duy đại số vô cùng hiệu quả. Đội ngũ Hóa Học Phổ Thông hy vọng rằng, với sự hướng dẫn chi tiết này, các em học sinh sẽ tự tin hơn trong quá trình ôn luyện và xuất sắc vượt qua các kỳ thi sắp tới. Hãy tiếp tục theo dõi chúng tôi để cập nhật thêm nhiều kiến thức bổ ích ở cả ba môn Toán, Lý, Hóa nhé!








