Nguyên hàm là một chủ đề quan trọng trong chương trình Toán 12, đóng vai trò nền tảng cho nhiều kiến thức khác, đặc biệt là tích phân. Tuy nhiên, đây cũng là phần kiến thức chứa đựng nhiều công thức và phương pháp giải đa dạng, gây không ít thử thách cho học sinh. Bài viết này sẽ tổng hợp đầy đủ các công thức nguyên hàm cơ bản, nâng cao, lượng giác, cùng với các phương pháp tính nguyên hàm hiệu quả nhất, giúp các em chinh phục chủ đề này một cách tự tin.
TÓM TẮT
I. Lý Thuyết Nguyên Hàm
1. Định Nghĩa Nguyên Hàm
Trong giải tích Toán học, nguyên hàm của một hàm số $f(x)$ xác định trên một khoảng K là một hàm số $F(x)$ sao cho đạo hàm của nó bằng chính $f(x)$ trên khoảng K đó. Ký hiệu toán học là $F'(x) = f(x)$.
Ví dụ minh họa: Hàm số $f(x) = cos x$ có nguyên hàm là $F(x) = sin x$, bởi vì đạo hàm của $sin x$ chính là $cos x$.
2. Tính Chất Của Nguyên Hàm
Đối với hai hàm số liên tục $f(x)$ và $g(x)$ trên khoảng K, ta có các tính chất sau:
- Tính chất cộng: $int [f(x) + g(x)]dx = int f(x)dx + int g(x)dx$
- Tính chất nhân với hằng số: $int kf(x)dx = kint f(x)dx$ (với k là hằng số khác 0)
Ví dụ:
$int sin^2 x dx = int frac{1 – cos 2x}{2} dx = frac{1}{2} int dx – frac{1}{2} int cos 2x dx = frac{x}{2} – frac{sin 2x}{4} + C$
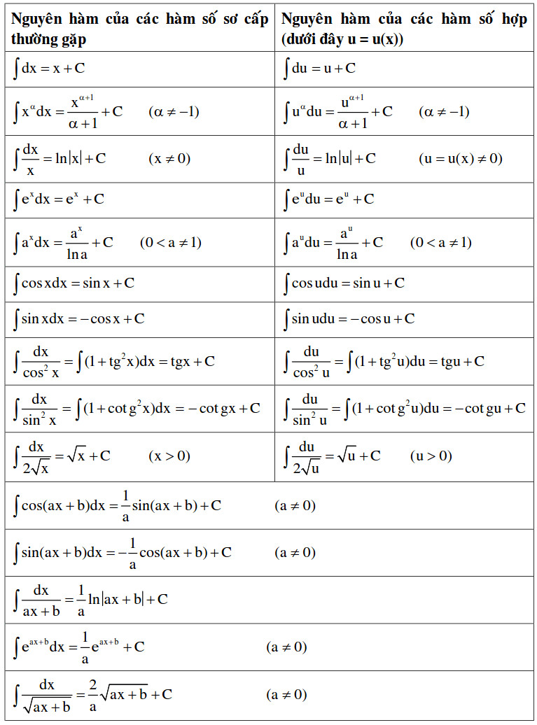
II. Bảng Công Thức Nguyên Hàm Đầy Đủ
Nắm vững các công thức nguyên hàm là yếu tố tiên quyết để giải thành thạo các bài toán liên quan. Dưới đây là tổng hợp các bảng công thức nguyên hàm quan trọng:
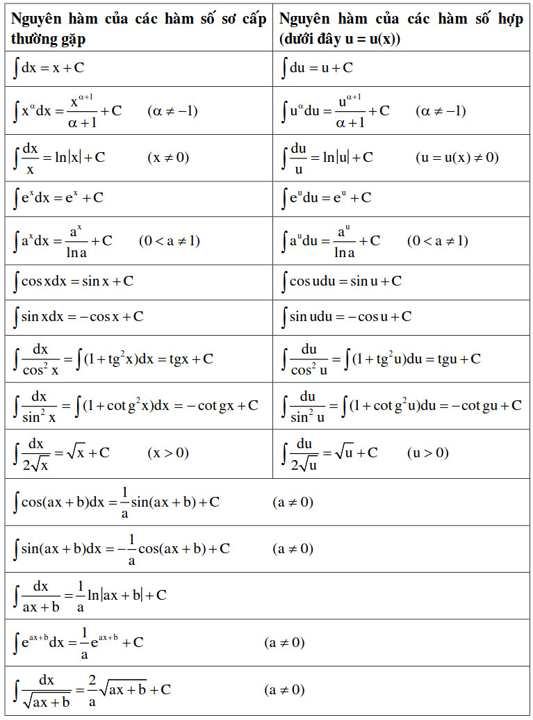
1. Bảng Công Thức Nguyên Hàm Cơ Bản
Bảng công thức nguyên hàm cơ bản
2. Bảng Công Thức Nguyên Hàm Nâng Cao
Bảng công thức nguyên hàm nâng cao
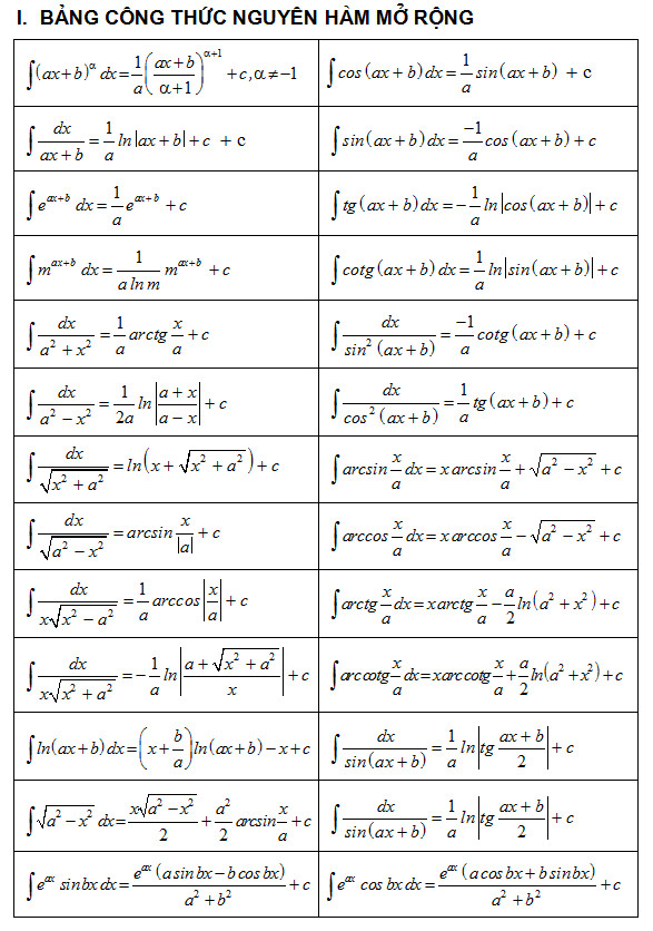
3. Bảng Công Thức Nguyên Hàm Mở Rộng
Tổng hợp công thức nguyên hàm mở rộng
4. Bảng Công Thức Nguyên Hàm Lượng Giác
Bảng nguyên hàm lượng giác thường gặp – công thức nguyên hàm
III. Các Phương Pháp Tính Nguyên Hàm Hiệu Quả
Bên cạnh việc ghi nhớ công thức, việc nắm vững các phương pháp tính nguyên hàm sẽ giúp học sinh giải quyết đa dạng các dạng bài tập.
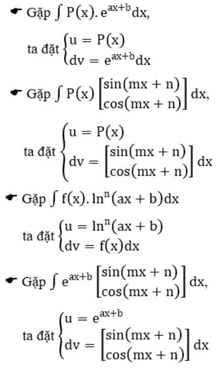
1. Phương Pháp Nguyên Hàm Từng Phần
Phương pháp này dựa trên định lý: $int u(x)v'(x)dx = u(x)v(x) – int u'(x)v(x)dx$ hoặc viết gọn là $int udv = uv – int vdu$. Việc lựa chọn $u$ và $dv$ hợp lý sẽ giúp đơn giản hóa bài toán.
Ví dụ: Tìm họ nguyên hàm của hàm số $int xsin x dx$.
Các trường hợp nguyên hàm từng phần – nguyên hàm toán 12
2. Phương Pháp Tính Nguyên Hàm Hàm Số Lượng Giác
Các bài toán về nguyên hàm lượng giác thường gặp các dạng đặc trưng, đòi hỏi các kỹ thuật biến đổi phù hợp.
Dạng 1: $I = int frac{dx}{sin(x+a)sin(x+b)}$
Sử dụng đồng nhất thức $sin(a-b) = sin[(x+a)-(x+b)]$ để tách và tính tích phân.
Dạng 2: $I = int tan(x+a)tan(x+b)dx$
Biến đổi $tan(x+a) = tan((x+b) + (a-b)) = frac{tan(x+b)+tan(a-b)}{1-tan(x+b)tan(a-b)}$.
Phương pháp tìm nguyên hàm hàm số lượng giác
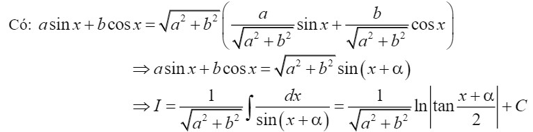
Dạng 3: $I = int frac{dx}{asin x + bcos x}$
Chia cả tử và mẫu cho $sqrt{a^2+b^2}$ và sử dụng công thức cộng lượng giác.
Phương pháp tìm nguyên hàm hàm số lượng giác
Dạng 4: $I = int frac{dx}{asin x + bcos x + c}$
Sử dụng công thức hạ bậc hoặc đặt $t = tan(x/2)$.
Phương pháp tìm nguyên hàm hàm số lượng giác – dạng 4
3. Cách Tính Nguyên Hàm Của Hàm Số Mũ
Nắm vững bảng nguyên hàm của các hàm số mũ cơ bản là điều cần thiết.
Bảng nguyên hàm hàm số mũ – công thức nguyên hàm
Ví dụ minh họa: Tìm nguyên hàm của hàm số $y = 5.7^x + x^2$.
Nguyên hàm là:
ví dụ minh họa phương pháp tìm nguyên hàm hàm số mũĐáp án: A.
4. Phương Pháp Nguyên Hàm Đặt Ẩn Phụ (Đổi Biến Số)
Phương pháp này bao gồm hai dạng chính:
- Dạng 1: Chọn $x = varphi(t)$ và tính $dx = varphi'(t)dt$. Sau đó biểu diễn tích phân theo $t$.
- Dạng 2: Chọn $t = psi(x)$ và tính $dt = psi'(x)dx$. Biểu diễn tích phân theo $t$.
Ví dụ minh họa cho Dạng 1: Tìm nguyên hàm $I = int frac{dx}{sqrt{(1-x^2)^3}}$.
Bài tập minh họa phương pháp nguyên hàm đặt ẩn phụ
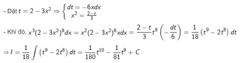
Ví dụ minh họa cho Dạng 2: Tìm nguyên hàm $I = int x^3(2-3x^2)^8 dx$.
Bài tập minh họa phương pháp nguyên hàm đặt ẩn phụ
Việc nắm vững lý thuyết và luyện tập thường xuyên với các dạng bài tập khác nhau sẽ giúp các em học sinh tự tin chinh phục chủ đề nguyên hàm trong chương trình Toán 12 và đạt kết quả cao trong các kỳ thi quan trọng.







