Nguyên hàm là một chủ đề quan trọng trong chương trình Toán 12, đặc biệt liên quan đến kiến thức về hàm số và xuất hiện thường xuyên trong các đề thi THPT Quốc gia. Tuy nhiên, đây là một mảng kiến thức khá rộng và có thể gây thách thức cho học sinh. Bài viết này sẽ cung cấp một cái nhìn tổng quan về nguyên hàm, các công thức cơ bản và nâng cao, cùng với những phương pháp giải nhanh chóng và hiệu quả.
TÓM TẮT
I. Lý Thuyết Nguyên Hàm
1.1. Định Nghĩa Nguyên Hàm
Trong chương trình giải tích Toán 12, nguyên hàm của một hàm số $f(x)$ được định nghĩa là một hàm số $F(x)$ sao cho đạo hàm của nó bằng chính hàm số $f(x)$. Nghĩa là, $F'(x) = f(x)$ với mọi $x$ thuộc tập xác định $K$.
Ví dụ: Hàm số $f(x) = cos x$ có một nguyên hàm là $F(x) = sin x$, vì đạo hàm của $sin x$ là $cos x$.
1.2. Tính Chất Của Nguyên Hàm
Đối với hai hàm số liên tục $g(x)$ và $f(x)$ trên tập $K$, nguyên hàm có các tính chất sau:
- $int [f(x) + g(x)]dx = int f(x)dx + int g(x)dx$
- $int kf(x)dx = kint f(x)dx$ (với $k$ là hằng số khác 0)
Một ví dụ minh họa cho tính chất này là:
$int sin^2 x dx = int frac{1 – cos 2x}{2} dx = frac{1}{2} int dx – frac{1}{2} int cos 2x dx = frac{x}{2} – frac{sin 2x}{4} + C$
II. Tuyển Tập Công Thức Nguyên Hàm Cho Học Sinh Lớp 12
Để giải quyết các bài toán về nguyên hàm, việc nắm vững các công thức là vô cùng quan trọng. Dưới đây là tổng hợp các bảng công thức nguyên hàm từ cơ bản đến nâng cao:
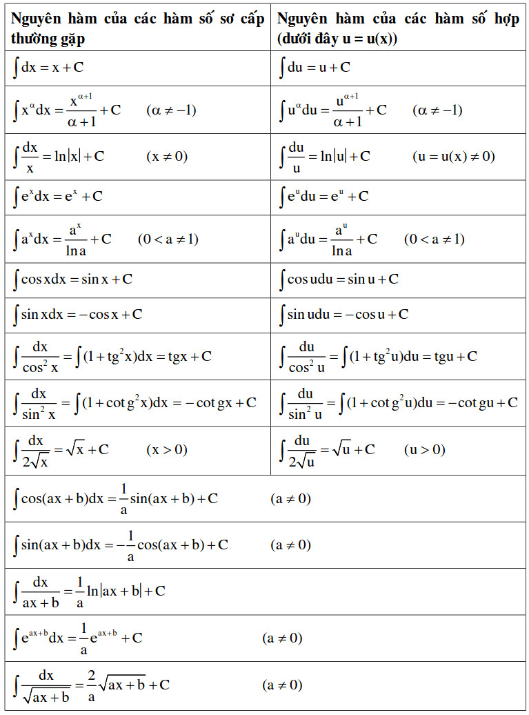
2.1. Bảng Công Thức Nguyên Hàm Cơ Bản
Bảng công thức nguyên hàm cơ bản
2.2. Bảng Công Thức Nguyên Hàm Nâng Cao
Bảng công thức nguyên hàm nâng cao
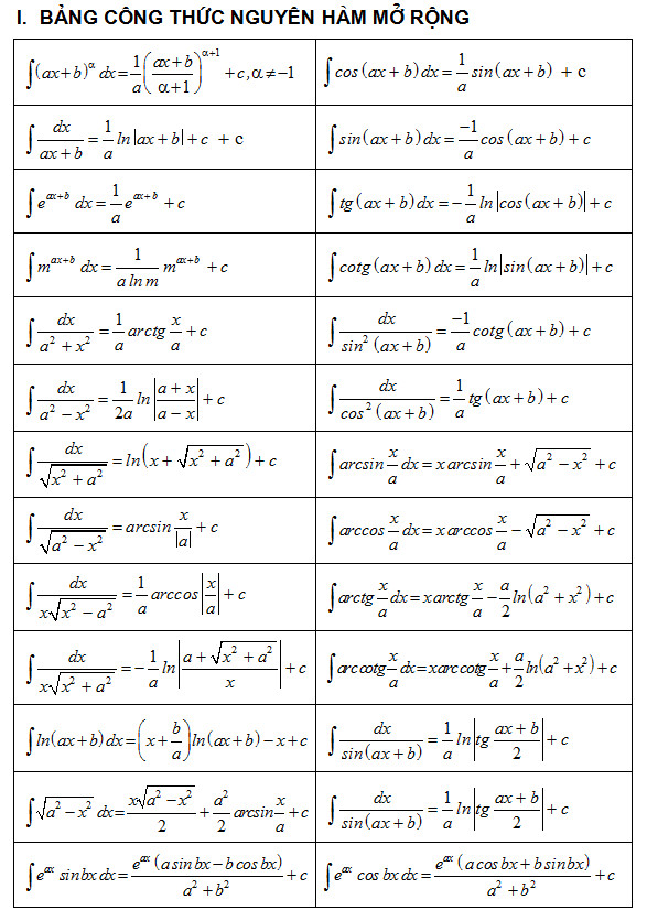
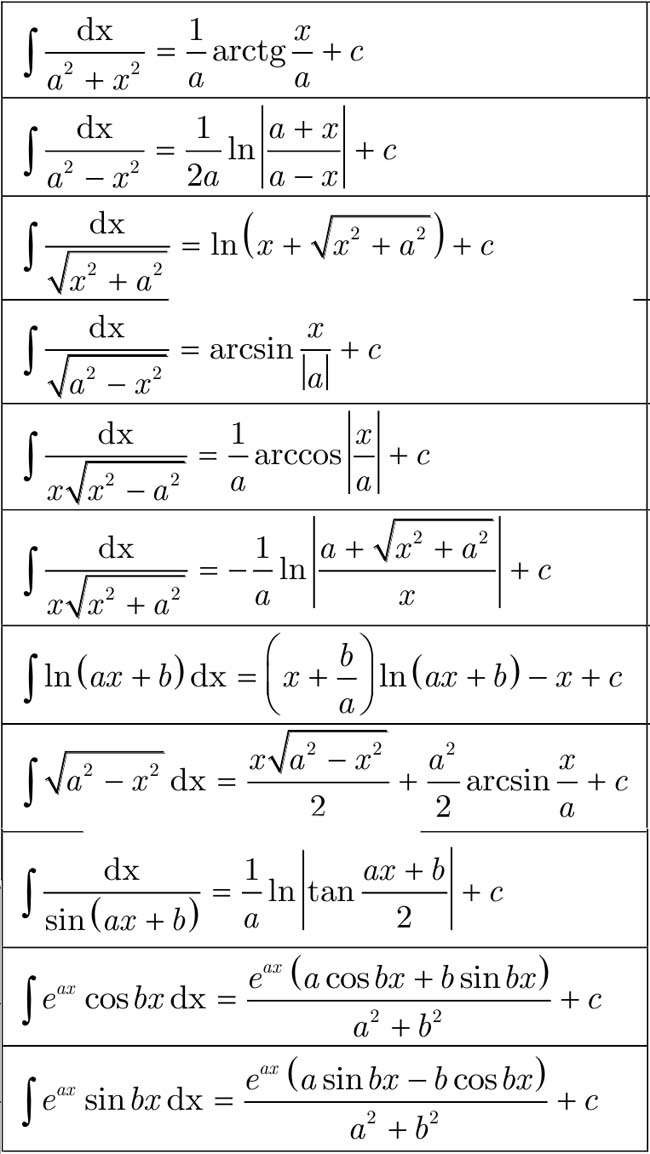
2.3. Bảng Công Thức Nguyên Hàm Mở Rộng
Tổng hợp công thức nguyên hàm mở rộng
III. Công Thức Nguyên Hàm Lượng Giác
Nguyên hàm của các hàm số lượng giác là một phần quan trọng. Dưới đây là bảng tổng hợp các công thức thường gặp:
Bảng nguyên hàm lượng giác thường gặp – công thức nguyên hàm
IV. Các Phương Pháp Tính Nguyên Hàm Hiệu Quả Kèm Bài Tập
Để vận dụng thành thạo các công thức nguyên hàm, việc luyện tập qua các bài tập áp dụng các phương pháp giải là rất cần thiết. Dưới đây là 4 phương pháp tính nguyên hàm phổ biến:
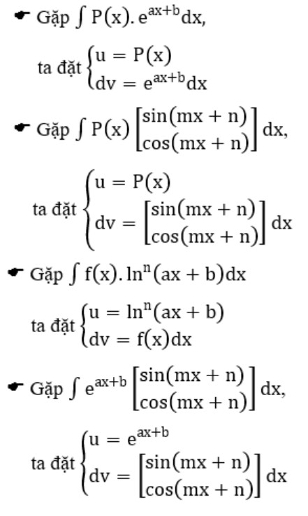
4.1. Nguyên Hàm Từng Phần
Phương pháp nguyên hàm từng phần dựa trên công thức: $int u dv = uv – int v du$.
Để áp dụng phương pháp này, học sinh cần nắm vững cách lựa chọn $u$ và $dv$ sao cho $int v du$ dễ tính toán hơn $int u dv$. Dưới đây là một ví dụ minh họa:
Tìm họ nguyên hàm của hàm số $int xsin x dx$.
Các trường hợp nguyên hàm từng phần – nguyên hàm toán 12
4.2. Phương Pháp Tính Nguyên Hàm Hàm Số Lượng Giác
Khi gặp các bài toán về nguyên hàm của hàm số lượng giác, có nhiều dạng toán khác nhau với các phương pháp giải đặc trưng. Dưới đây là một số dạng thường gặp:
-
Dạng 1: $I = int frac{dx}{sin(x+a)sin(x+b)}$
Phương pháp: Sử dụng đồng nhất thức để tách thành các nguyên hàm cơ bản. -
Dạng 2: $I = int tan(x+a)tan(x+b)dx$
Phương pháp: Biến đổi biểu thức về dạng có thể tính nguyên hàm. -
Dạng 3: $I = int frac{dx}{asin x + bcos x}$
Phương pháp: Đặt $t = tan(frac{x}{2})$ hoặc sử dụng công thức biến đổi tổng thành tích. -
Dạng 4: $I = int frac{dx}{asin x + bcos x + c}$
Phương pháp: Đặt $t = tan(frac{x}{2})$.
Ví dụ minh họa cho các dạng trên:
Tìm nguyên hàm $I=int frac{dx}{sin x sin(x+frac{pi}{6})}$
Ví dụ minh họa bài tập nguyên hàm
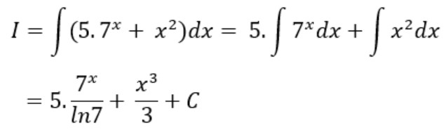
4.3. Cách Tính Nguyên Hàm Của Hàm Số Mũ
Để tính nguyên hàm của hàm số mũ, học sinh cần nắm vững bảng công thức nguyên hàm cơ bản cho hàm số mũ.
Bảng nguyên hàm hàm số mũ – công thức nguyên hàm
Ví dụ minh họa: Tìm nguyên hàm của hàm số $y = 5 cdot 7^x + x^2$.
ví dụ minh họa phương pháp tìm nguyên hàm hàm số mũ
Kết quả nguyên hàm là:
ví dụ minh họa phương pháp tìm nguyên hàm hàm số mũ
4.4. Phương Pháp Nguyên Hàm Đặt Ẩn Phụ (Đổi Biến Số)
Phương pháp đổi biến số bao gồm hai dạng chính, dựa trên định lý:
- Nếu $int f(x)dx=F(x)+C$ và $u=varphi(x)$ là hàm số có đạo hàm, thì $int f(u)du=F(u) + C$.
- Nếu hàm số $f(x)$ liên tục và $x=varphi(t)$ là hàm số có đạo hàm liên tục, thì $int f(x)dx = int f(varphi(t))varphi'(t)dt$.
Bài toán 1: Sử dụng phương pháp đổi biến số dạng 1.
Bước 1: Chọn $x=varphi(t)$.
Bước 2: Tính vi phân hai vế: $dx=varphi'(t)dt$.
Bước 3: Biểu diễn $f(x)dx$ theo $t$ và $dt$.
Bước 4: Tính nguyên hàm theo biến $t$: $I = int g(t)dt = G(t) + C$.
Ví dụ minh họa: Tìm nguyên hàm của $I = int frac{dx}{sqrt{(1-x^2)^3}}$.
Bài tập minh họa phương pháp nguyên hàm đặt ẩn phụ
Bài toán 2: Sử dụng phương pháp đổi biến số dạng 2.
Bước 1: Chọn $t=psi(x)$.
Bước 2: Tính vi phân hai vế: $dt=psi'(x)dx$.
Bước 3: Biểu diễn $f(x)dx$ theo $t$ và $dt$.
Bước 4: Tính nguyên hàm theo biến $t$: $I = int g(t)dt = G(t) + C$.
Ví dụ minh họa: Tìm nguyên hàm $I = int x^3(2-3x^2)^8dx$.
Bài viết này đã cung cấp một hệ thống toàn diện về công thức và phương pháp giải nguyên hàm cho học sinh lớp 12. Việc luyện tập thường xuyên với các dạng bài tập khác nhau sẽ giúp các em nắm vững kiến thức và tự tin chinh phục các kỳ thi quan trọng. Để tiếp tục nâng cao kiến thức và kỹ năng, hãy truy cập Vuihoc.vn và đăng ký các khóa học Toán 12.







