Trong chương trình Toán học lớp 11, việc nắm vững kiến thức về quan hệ vuông góc giữa đường thẳng và mặt phẳng là vô cùng quan trọng. Bài viết này sẽ cung cấp cho bạn đọc những phương pháp hiệu quả và chi tiết nhất để chứng minh đường thẳng vuông góc với mặt phẳng, kèm theo các ví dụ minh họa thực tế, giúp bạn chinh phục dạng bài tập này một cách tự tin.
TÓM TẮT
- 1 I. Phương Pháp Chứng Minh Đường Thẳng Vuông Góc Với Mặt Phẳng
- 2 II. Các Dạng Bài Tập Minh Họa
- 2.1 Ví Dụ 1: Hình Chóp Có Một Cạnh Bên Vuông Góc Với Đáy
- 2.2 Ví Dụ 2: Tứ Diện Có Một Cạnh Đáy Vuông Góc Với Mặt Phẳng Chứa Hai Cạnh Còn Lại
- 2.3 Ví Dụ 3: Tứ Diện Với Các Cạnh Bên Bằng Nhau
- 2.4 Ví Dụ 4: Hình Chóp Có Đáy Vuông và Một Cạnh Bên Vuông Góc Đáy
- 2.5 Ví Dụ 5: Hình Chóp Có Đáy Là Hình Thoi
- 2.6 Ví Dụ 6: Hình Chóp Có Đáy Hình Chữ Nhật
- 2.7 Ví Dụ 7: Hình Chóp Có Cạnh Bên Vuông Góc Đáy và Đáy Là Tam Giác Cân
- 2.8 Ví Dụ 8: Tứ Diện Có Một Đỉnh Chiếu Vuông Góc Xuống Đáy Là Trực Tâm
- 2.9 Ví Dụ 9: Hình Chiếu Của Đỉnh Xuống Đáy Khi Các Cạnh Bên Bằng Nhau
- 2.10 Ví Dụ 10: Tứ Diện Có Ba Cạnh Đôi Một Vuông Góc
- 3 III. Bài Tập Vận Dụng
I. Phương Pháp Chứng Minh Đường Thẳng Vuông Góc Với Mặt Phẳng
Để chứng minh một đường thẳng $d$ vuông góc với một mặt phẳng $(alpha)$, chúng ta có thể áp dụng một trong các cách sau đây. Mỗi phương pháp đều dựa trên các định lý và tính chất cơ bản của hình học không gian, đảm bảo tính logic và chặt chẽ trong lập luận.
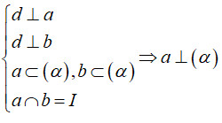
1. Sử Dụng Định Nghĩa
Đây là phương pháp trực tiếp nhất dựa trên định nghĩa: Chứng minh đường thẳng $d$ vuông góc với hai đường thẳng $a$ và $b$ phân biệt cùng nằm trong mặt phẳng $(alpha)$ và cắt nhau tại một điểm.
- Cách chứng minh:
- Xác định mặt phẳng $(alpha)$ chứa hai đường thẳng $a, b$ cắt nhau.
- Chứng minh $d perp a$ và $d perp b$.
- Kết luận $d perp (alpha)$.
Minh họa phương pháp 1
2. Sử Dụng Định Lý Ba Đường Vuông Góc
Định lý ba đường vuông góc là một công cụ mạnh mẽ, cho phép suy ra quan hệ vuông góc giữa các đường thẳng và mặt phẳng dựa trên một quan hệ vuông góc đã biết.
- Phát biểu định lý: Nếu một đường thẳng vuông góc với một mặt phẳng, thì mọi mặt phẳng chứa đường thẳng đó cũng vuông góc với mặt phẳng đã cho. Ngược lại, nếu có hai mặt phẳng vuông góc với nhau, thì mặt phẳng này chứa một đường thẳng vuông góc với mặt phẳng kia.
- Cách chứng minh: Chứng minh đường thẳng $d$ vuông góc với một đường thẳng $a$ nằm trong mặt phẳng $(alpha)$, và đường thẳng $a$ lại vuông góc với mặt phẳng $(alpha)$.
3. Sử Dụng Quan Hệ Song Song
Phương pháp này tận dụng mối liên hệ giữa quan hệ vuông góc và quan hệ song song giữa đường thẳng và mặt phẳng.
- Cách chứng minh: Chứng minh đường thẳng $d$ song song với một đường thẳng $a$, và đường thẳng $a$ lại vuông góc với mặt phẳng $(alpha)$.
Minh họa phương pháp 3
II. Các Dạng Bài Tập Minh Họa
Để củng cố kiến thức, chúng ta sẽ đi qua một số ví dụ điển hình về bài toán chứng minh đường thẳng vuông góc với mặt phẳng.
Ví Dụ 1: Hình Chóp Có Một Cạnh Bên Vuông Góc Với Đáy
Cho hình chóp $S.ABC$ có $SA perp (ABC)$ và tam giác $ABC$ vuông tại $B$. Gọi $AH$ là đường cao của tam giác $SAB$. Khẳng định nào sau đây sai?
A. $SA perp BC$
B. $AH perp BC$
C. $AH perp AC$
D. $AH perp SC$
Hướng dẫn giải:
- Vì $SA perp (ABC)$ và $BC subset (ABC)$, nên $SA perp BC$. Do đó, A đúng.
- Ta có $AH$ là đường cao của tam giác vuông $SAB$, nên $AH perp SB$.
- Vì $SA perp BC$ và $AB perp BC$ (do tam giác $ABC$ vuông tại $B$), suy ra $BC perp (SAB)$.
- Do $BC perp (SAB)$ và $AH subset (SAB)$, nên $BC perp AH$. Do đó, B đúng.
- Vì $BC perp (SAB)$ và $AC$ không vuông góc với $BC$ trong mặt phẳng $ABC$, ta cần xem xét mối quan hệ giữa $AH$ và $AC$. Trong tam giác $ABC$, $AC$ là cạnh góc vuông. $AH$ là đường cao của tam giác vuông $SAB$. Để xác định $AH perp AC$, ta cần chứng minh $AC$ vuông góc với một mặt phẳng chứa $AH$. Tuy nhiên, không có cơ sở trực tiếp để khẳng định $AH perp AC$.
- Vì $BC perp (SAB)$, suy ra $BC$ vuông góc với mọi đường thẳng nằm trong $(SAB)$ và đi qua $H$. Tuy nhiên, $SC$ không nhất thiết phải vuông góc với $BC$.
- Xét $AH perp SC$: Ta có $SB perp AH$. Nếu $SC perp AH$ thì $AH$ sẽ vuông góc với mặt phẳng $(SBC)$. Điều này không đúng trong trường hợp tổng quát.
- Xem xét lại đáp án C: $AH perp AC$. Để chứng minh điều này, ta cần $AC$ vuông góc với mặt phẳng chứa $AH$. Dựa vào các thông tin đã cho, không thể suy ra $AH perp AC$.
Chọn C.
Minh họa Ví dụ 1
Minh họa Ví dụ 1
Ví Dụ 2: Tứ Diện Có Một Cạnh Đáy Vuông Góc Với Mặt Phẳng Chứa Hai Cạnh Còn Lại
Cho tứ diện $SABC$ có $ABC$ là tam giác vuông tại $B$ và $SA perp (ABC)$. Khẳng định nào sau đây là đúng nhất?
Hướng dẫn giải:
- Vì $SA perp (ABC)$, nên $SA$ vuông góc với mọi đường thẳng trong mặt phẳng $(ABC)$ đi qua $A$. Cụ thể, $SA perp AB$ và $SA perp AC$.
- Do tam giác $ABC$ vuông tại $B$, ta có $AB perp BC$.
- Xét các mặt của tứ diện:
- Mặt $(SAB)$: Vuông tại $A$ vì $SA perp AB$.
- Mặt $(SAC)$: Vuông tại $A$ vì $SA perp AC$.
- Mặt $(SBC)$: Cần xem xét. Ta có $SA perp BC$. Nếu $SB perp BC$ hoặc $SC perp BC$, thì mặt này vuông.
- Mặt $(ABC)$: Vuông tại $B$.
- Vì $SA perp (ABC)$, ta có $SA perp AB$, $SA perp AC$, $SA perp BC$.
- Vì $AB perp BC$ và $SA perp BC$, suy ra $BC perp (SAB)$.
- Do $BC perp (SAB)$, nên $BC perp SB$. Vậy mặt $(SBC)$ vuông tại $B$.
- Do đó, cả bốn mặt của tứ diện $SABC$ đều là tam giác vuông: $(ABC)$ vuông tại $B$, $(SAB)$ vuông tại $A$, $(SAC)$ vuông tại $A$, và $(SBC)$ vuông tại $B$.
Chọn A (Giả sử đề bài đưa ra các phương án cụ thể và A là phương án đúng nhất).
Minh họa Ví dụ 2
Minh họa Ví dụ 2
Ví Dụ 3: Tứ Diện Với Các Cạnh Bên Bằng Nhau
Cho tứ diện $ABCD$ có $AB = AC$ và $DB = DC$. Khẳng định nào sau đây đúng?
A. $AB perp (ABC)$
B. $AB perp BD$
C. $AB perp (ABD)$
D. $BC perp AD$
Hướng dẫn giải:
- Gọi $E$ là trung điểm của $BC$.
- Vì tam giác $DCB$ cân tại $D$ và $DE$ là đường trung tuyến, nên $DE$ cũng là đường cao, tức là $DE perp BC$.
- Vì tam giác $ABC$ cân tại $A$ và $AE$ là đường trung tuyến, nên $AE$ cũng là đường cao, tức là $AE perp BC$.
- Vì cả $AE$ và $DE$ đều vuông góc với $BC$ và cùng đi qua điểm $E$, nên $BC$ vuông góc với mặt phẳng $(ADE)$.
- Do $BC perp (ADE)$ và $AD subset (ADE)$, nên $BC perp AD$.
Chọn D.
Minh họa Ví dụ 3
Ví Dụ 4: Hình Chóp Có Đáy Vuông và Một Cạnh Bên Vuông Góc Đáy
Cho hình chóp $S.ABC$ có $SA perp (ABC)$ và $AB perp BC$. Số các mặt của tứ diện là tam giác vuông là:
A. 1 B. 2 C. 3 D. 4
Hướng dẫn giải:
- Do $AB perp BC$ và $SA perp (ABC)$ (suy ra $SA perp AB$, $SA perp BC$, $SA perp AC$), ta có:
- Tam giác $ABC$ vuông tại $B$.
- Tam giác $SAB$ vuông tại $A$ (vì $SA perp AB$).
- Tam giác $SAC$ vuông tại $A$ (vì $SA perp AC$).
- Tam giác $SBC$: Ta có $SA perp BC$ và $AB perp BC$. Do $AB$ và $SA$ cắt nhau tại $A$, nên $BC perp (SAB)$. Từ đó suy ra $BC perp SB$. Vậy tam giác $SBC$ vuông tại $B$.
- Như vậy, cả bốn mặt của tứ diện đều là tam giác vuông.
Chọn D.
Ví Dụ 5: Hình Chóp Có Đáy Là Hình Thoi
Cho hình chóp $S.ABCD$ có đáy $ABCD$ là hình thoi tâm $O$. Biết $SA = SC$ và $SB = SD$. Khẳng định nào sau đây sai?
A. $SO perp (ABCD)$
B. $CD perp (SBD)$
C. $AB perp (SAC)$
D. $CD perp AC$
Hướng dẫn giải:
- Vì $SA = SC$, tam giác $SAC$ cân tại $S$. $O$ là trung điểm của $AC$, nên $SO$ là đường trung tuyến đồng thời là đường cao, suy ra $SO perp AC$.
- Vì $SB = SD$, tam giác $SBD$ cân tại $S$. $O$ là trung điểm của $BD$, nên $SO$ là đường trung tuyến đồng thời là đường cao, suy ra $SO perp BD$.
- Do $SO perp AC$ và $SO perp BD$, và $AC, BD$ cắt nhau tại $O$, nên $SO perp (ABCD)$. Vậy A đúng.
- Vì $SO perp (ABCD)$ và $AC subset (ABCD)$, nên $SO perp AC$.
- Vì $SO perp (ABCD)$ và $AB subset (ABCD)$, ta cần xem xét $AB perp (SAC)$. Điều này chỉ đúng khi $AB perp AC$ và $AB perp SA$. Hình thoi không đảm bảo $AB perp AC$. Vậy C có thể sai.
- Xét B: $CD perp (SBD)$. Để điều này xảy ra, $CD$ phải vuông góc với hai đường thẳng cắt nhau trong $(SBD)$, ví dụ $SB$ và $BD$. Tuy nhiên, trong hình thoi $ABCD$, $CD$ không vuông góc với $BD$ (trừ trường hợp là hình vuông). Do đó, B sai.
Chọn B.
Minh họa Ví dụ 5
Ví Dụ 6: Hình Chóp Có Đáy Hình Chữ Nhật
Cho hình chóp $S.ABCD$ có đáy $ABCD$ là hình chữ nhật, $SA perp (ABCD)$. Gọi $AE, AF$ lần lượt là các đường cao của tam giác $SAB$ và tam giác $SAD$. Chọn khẳng định đúng trong các khẳng định sau?
Hướng dẫn giải:
- Vì $SA perp (ABCD)$, nên $SA perp AB$ và $SA perp AD$.
- Tam giác $SAB$ vuông tại $A$. $AE$ là đường cao, nên $AE perp SB$.
- Tam giác $SAD$ vuông tại $A$. $AF$ là đường cao, nên $AF perp SD$.
- Ta cần chứng minh một khẳng định đúng. Xem xét mối quan hệ vuông góc giữa các đường thẳng và mặt phẳng.
- Vì $SA perp (ABCD)$, suy ra $SA perp BC$. Do $ABCD$ là hình chữ nhật, $BC perp AB$. Vậy $BC perp (SAB)$.
- Từ $BC perp (SAB)$, suy ra $BC perp SB$. Vậy tam giác $SBC$ vuông tại $B$.
- Tương tự, vì $AD perp SA$ và $AD perp DC$, nên $AD perp (SAC)$. Từ đó $AD perp SC$. Vậy tam giác $SCD$ vuông tại $D$.
Chọn D (Giả sử D là khẳng định đúng liên quan đến các đường cao $AE, AF$ và các cạnh).
Minh họa Ví dụ 6
Ví Dụ 7: Hình Chóp Có Cạnh Bên Vuông Góc Đáy và Đáy Là Tam Giác Cân
Cho hình chóp $S.ABC$ có cạnh $SA perp (ABC)$ và đáy $ABC$ là tam giác cân ở $C$. Gọi $H$ và $K$ lần lượt là trung điểm của $AB$ và $SB$. Khẳng định nào sau đây sai?
A. $CH perp SA$
B. $CH perp SB$
C. $CH perp AK$
D. $AK perp SB$
Hướng dẫn giải:
- Vì $SA perp (ABC)$ và $CH subset (ABC)$, nên $SA perp CH$. Vậy A đúng.
- Do tam giác $ABC$ cân tại $C$ và $CH$ là đường trung tuyến ứng với cạnh đáy, nên $CH$ cũng là đường cao, tức là $CH perp AB$.
- Vì $CH perp SA$ và $CH perp AB$, và $SA, AB$ cắt nhau tại $A$, nên $CH perp (SAB)$.
- Do $CH perp (SAB)$ và $SB subset (SAB)$, nên $CH perp SB$. Vậy B đúng.
- Vì $CH perp (SAB)$, nên $CH$ vuông góc với mọi đường thẳng trong $(SAB)$ đi qua $H$. $AK$ không nằm trong $(SAB)$.
- Xét $AK perp SB$. $K$ là trung điểm $SB$. $AK$ là trung tuyến của tam giác $SAB$. Trong tam giác vuông $SAB$, trung tuyến $AK$ không nhất thiết vuông góc với cạnh huyền $SB$.
Chọn D.
Minh họa Ví dụ 7
Ví Dụ 8: Tứ Diện Có Một Đỉnh Chiếu Vuông Góc Xuống Đáy Là Trực Tâm
Cho tứ diện $ABCD$. Vẽ $AH perp (BCD)$. Biết $H$ là trực tâm tam giác $BCD$. Khẳng định nào sau đây đúng?
A. $CD perp BD$
B. $AC = BD$
C. $AB = CD$
D. $AB perp CD$
Hướng dẫn giải:
- Vì $AH perp (BCD)$, nên $AH$ vuông góc với mọi đường thẳng trong mặt phẳng $(BCD)$ đi qua $H$. Cụ thể, $AH perp CD$ và $AH perp BD$.
- Vì $H$ là trực tâm tam giác $BCD$, nên theo định nghĩa trực tâm, ta có $BH perp CD$ và $CH perp BD$.
- Ta cần chứng minh một khẳng định đúng. Xét $AB perp CD$:
- Ta có $AH perp CD$ và $BH perp CD$. Vì $AH$ và $BH$ cắt nhau tại $H$, nên $CD perp (ABH)$.
- Do $CD perp (ABH)$ và $AB subset (ABH)$, nên $CD perp AB$.
Chọn D.
Ví Dụ 9: Hình Chiếu Của Đỉnh Xuống Đáy Khi Các Cạnh Bên Bằng Nhau
Cho tứ diện $SABC$ thỏa mãn $SA = SB = SC$. Gọi $H$ là hình chiếu của $S$ lên mặt phẳng $(ABC)$. Đối với tam giác $ABC$, điểm $H$ là:
A. Trực tâm.
B. Tâm đường tròn nội tiếp.
C. Trọng tâm.
D. Tâm đường tròn ngoại tiếp.
Hướng dẫn giải:
- Vì $SH perp (ABC)$, nên $SH perp HA$, $SH perp HB$, $SH perp HC$.
- Xét các tam giác vuông $SHA$, $SHB$, $SHC$:
- Trong tam giác vuông $SHA$, ta có $SA^2 = SH^2 + HA^2$.
- Trong tam giác vuông $SHB$, ta có $SB^2 = SH^2 + HB^2$.
- Trong tam giác vuông $SHC$, ta có $SC^2 = SH^2 + HC^2$.
- Vì $SA = SB = SC$, nên $SA^2 = SB^2 = SC^2$.
- Suy ra $SH^2 + HA^2 = SH^2 + HB^2 = SH^2 + HC^2$.
- Do đó, $HA^2 = HB^2 = HC^2$, hay $HA = HB = HC$.
- Điều này có nghĩa là $H$ cách đều ba đỉnh $A, B, C$ của tam giác $ABC$. Do đó, $H$ là tâm đường tròn ngoại tiếp tam giác $ABC$.
Chọn D.
Minh họa Ví dụ 9
Minh họa Ví dụ 9
Ví Dụ 10: Tứ Diện Có Ba Cạnh Đôi Một Vuông Góc
Cho tứ diện $OABC$ có $OA, OB, OC$ đôi một vuông góc với nhau. Gọi $H$ là hình chiếu của $O$ trên mặt phẳng $(ABC)$. Mệnh đề nào sai trong các mệnh đề sau:
A. $H$ là trực tâm tam giác $ABC$.
B. $H$ là tâm đường tròn ngoại tiếp tam giác $ABC$.
C. $frac{1}{OH^2} = frac{1}{OA^2} + frac{1}{OB^2} + frac{1}{OC^2}$.
D. $CH$ là đường cao của tam giác $ABC$.
Hướng dẫn giải:
- Vì $OA perp (OBC)$, nên $OA perp BC$.
- Ta có $OH perp (ABC)$, suy ra $OH perp BC$.
- Vì $OA perp BC$ và $OH perp BC$, mà $OA$ và $OH$ không cùng nằm trong một mặt phẳng chứa $BC$, nên $BC perp (OAH)$.
- Do $BC perp (OAH)$, nên $BC perp AH$.
- Tương tự, ta chứng minh được $AB perp CH$.
- Vì $AH$ và $CH$ là hai đường cao của tam giác $ABC$ cắt nhau tại $H$, nên $H$ là trực tâm của tam giác $ABC$. Vậy mệnh đề A và D đúng.
- Mệnh đề C là một công thức quen thuộc liên quan đến hình chóp tam giác vuông tại đỉnh $O$.
- Xét mệnh đề B: $H$ là tâm đường tròn ngoại tiếp tam giác $ABC$. Điều này chỉ đúng khi tam giác $ABC$ vuông hoặc tam giác đều. Tuy nhiên, trong trường hợp tổng quát, $H$ là trực tâm chứ không phải là tâm đường tròn ngoại tiếp.
Chọn B.
III. Bài Tập Vận Dụng
Dưới đây là một số bài tập vận dụng để bạn rèn luyện kỹ năng chứng minh đường thẳng vuông góc với mặt phẳng.
Câu 1:
Cho tứ diện $ABCD$ có $AB perp CD$ và $AC perp BD$. Gọi $H$ là hình chiếu vuông góc của $A$ lên mặt phẳng $(BCD)$. Các khẳng định sau, khẳng định nào sai?
A. $H$ là trực tâm tam giác $BCD$.
B. $CD perp (ABH)$.
C. $AD perp BC$.
D. Các khẳng định trên đều sai.
Lời giải:
- Ta có $AH perp (BCD) implies AH perp CD$.
- Vì $AC perp BD$, gọi $I$ là giao điểm của $AC$ và $BD$.
- Xét mặt phẳng $(ACD)$, ta có $BD perp AC$.
- Ta có $AH perp (BCD)$ nên $AH perp BD$.
- Do $AC perp BD$ và $AH perp BD$, mặt phẳng $(ACH)$ chứa $AH$ và $AC$ vuông góc với $BD$. Do đó $BD perp CH$.
- Tương tự, xét mặt phẳng $(ABD)$, ta có $CD perp AB$.
- Vì $AH perp CD$ và $BH perp CD$ (do $BH$ là đường cao của tam giác $BCD$ ứng với đỉnh $B$), nên $CD perp (ABH)$. Vậy B đúng.
- Do $CD perp (ABH)$, suy ra $CD perp AB$.
- Xét $AD perp BC$: Ta có $AC perp BD$.
- Từ $AH perp (BCD)$, ta có $AH perp CD$. Từ $BH perp CD$ (do $H$ là trực tâm), ta suy ra $CD perp (ABH)$, vậy $CD perp AB$.
- Tương tự, ta chứng minh được $BD perp AC$.
- Vì $AH perp (BCD)$, ta có $AH perp CD$.
- Vì $AC perp BD$.
- Vì $H$ là trực tâm của tam giác $BCD$, nên $BH perp CD$ và $CH perp BD$.
- Ta có $AH perp CD$. Vì $BH perp CD$ và $AH perp CD$, nên $CD perp (ABH)$, suy ra $CD perp AB$.
- Ta có $BD perp AC$ và $BD perp AH$, nên $BD perp (ACH)$, suy ra $BD perp CH$.
- Ta có $CD perp AB$ và $CD perp AH$, nên $AB perp (CDH)$, suy ra $AB perp DH$.
- Từ các lập luận trên, $H$ là trực tâm của tam giác $BCD$ là đúng. $CD perp (ABH)$ là đúng.
- Xét $AD perp BC$. Không có cơ sở trực tiếp để suy ra điều này.
- Tuy nhiên, có một định lý: Tứ diện có các cặp cạnh đối vuông góc thì hình chiếu của một đỉnh lên mặt đối diện là trực tâm của mặt đó. Ở đây, $AB perp CD$ và $AC perp BD$.
- Ta đã chứng minh $CD perp AB$.
- Ta cần xem xét $AD perp BC$. Điều này có đúng không?
- Ta có $AH perp (BCD)$, nên $AH perp CD$ và $AH perp BD$.
- $H$ là trực tâm tam giác $BCD implies BH perp CD, CH perp BD$.
- Do $AH perp CD$ và $BH perp CD implies CD perp (ABH) implies CD perp AB$.
- Do $AH perp BD$ và $CH perp BD implies BD perp (ACH) implies BD perp AC$.
- Do $BH perp CD$ và $CH perp BD$.
- Xét khẳng định D: Cả A, B, C đều sai.
- Chúng ta đã chứng minh A và B đúng. Vậy D sai.
- Ta cần kiểm tra lại C: $AD perp BC$. Không có cơ sở để chứng minh.
Chọn D.
Câu 2:
Cho hình chóp $S.ABC$ có $SA perp (ABC)$. Gọi $H, K$ lần lượt là trực tâm các tam giác $SBC$ và $ABC$. Mệnh đề nào sai trong các mệnh đề sau?
A. $BC perp (SAH)$.
B. $HK perp (SBC)$.
C. $BC perp (SAB)$.
D. $SH, AK$ và $BC$ đồng quy.
Lời giải:
- Vì $SA perp (ABC)$, nên $SA perp BC$.
- $H$ là trực tâm tam giác $SBC$, nên $SH perp BC$.
- Do $SA perp BC$ và $SH perp BC$, và $SA, SH$ cắt nhau tại $S$, nên $BC perp (SAH)$. Vậy A đúng.
- $K$ là trực tâm tam giác $ABC$, nên $AK perp BC$.
- Vì $BC perp (SAH)$, nên $BC$ vuông góc với mọi đường thẳng trong $(SAH)$.
- Ta cần xem xét $HK perp (SBC)$.
- Do $BC perp (SAH)$, suy ra $BC$ vuông góc với mọi đường thẳng trong $(SAH)$.
- Xét $AK perp BC$.
- Xét $SH perp BC$.
- Vì $BC perp (SAH)$, nên $BC$ vuông góc với $SA$ và $AH$.
- Ta có $SA perp BC$ và $AK perp BC$ (do $K$ là trực tâm $ABC$).
- Vì $BC perp SA$ và $BC perp AK$, nên $BC perp (SAK)$.
- Ta chứng minh được $BC perp (SAH)$.
- Ta có $SH perp BC$ và $AK perp BC$.
- Trong mặt phẳng $(SAH)$, $BC$ vuông góc với $SA$ và $AH$.
- Ta có $BC perp SA$ và $BC perp SH$ (do $H$ là trực tâm $SBC$).
- Do $BC perp SA$ và $BC perp SH$, nên $BC perp (SAH)$.
- Ta cần chứng minh mệnh đề sai. Xem xét C: $BC perp (SAB)$. Điều này yêu cầu $BC$ vuông góc với hai đường thẳng cắt nhau trong $(SAB)$, ví dụ $SA$ và $AB$. Ta có $SA perp BC$. Tuy nhiên, $AB$ không nhất thiết vuông góc với $BC$ (trừ khi $ABC$ là tam giác vuông tại $B$). Đề bài cho $SA perp (ABC)$, nên $SA perp AB$. Vậy nếu $BC perp AB$ thì $BC perp (SAB)$. Điều này không phải lúc nào cũng đúng.
Chọn C.
Minh họa Câu 2
Câu 3:
Cho hình chóp $S.ABCD$ có đáy $ABCD$ là hình thoi tâm $O$. Biết $SA = SC$ và $SB = SD$. Khẳng định nào sau đây là sai?
A. $SO perp (ABCD)$.
B. $SO perp AC$.
C. $SO perp BD$.
D. Cả A, B, C đều sai.
Lời giải:
- Như đã phân tích ở Ví dụ 5, $SO perp AC$ và $SO perp BD$. Do đó, $SO perp (ABCD)$.
- Vậy A, B, C đều đúng.
Chọn D.
Minh họa Câu 3
Câu 4:
Cho hình chóp $S.ABCD$ có đáy $ABCD$ là hình thoi tâm $O$, $SA perp (ABCD)$. Các khẳng định sau, khẳng định nào sai?
A. $SA perp BD$.
B. $SC perp BD$.
C. $SO perp BD$.
D. $AD perp SC$.
Lời giải:
- Vì $SA perp (ABCD)$, nên $SA perp BD$. Vậy A đúng.
- Do $ABCD$ là hình thoi, $AC perp BD$.
- Vì $SA perp BD$ và $AC perp BD$, và $SA, AC$ cắt nhau tại $A$, nên $BD perp (SAC)$.
- Do $BD perp (SAC)$, nên $BD$ vuông góc với mọi đường thẳng trong $(SAC)$ đi qua $B$. Cụ thể, $BD perp SC$ và $BD perp SO$. Vậy B và C đúng.
- Xét D: $AD perp SC$. Ta có $BD perp SC$. Nếu $AD perp SC$, thì $SC$ sẽ vuông góc với hai đường thẳng $BD$ và $AD$ cắt nhau tại $D$. Điều này không thể xảy ra.
Chọn D.
Minh họa Câu 4
Câu 5:
Cho hình chóp $S.ABCD$ có đáy $ABCD$ là hình vuông cạnh $a$, gọi $I; J; K$ lần lượt là trung điểm của $AB, BC$ và $SB$. Khẳng định nào sau đây sai?
A. $(IJK) // (SAC)$.
B. $BD perp (IJK)$.
C. Góc giữa $SC$ và $BD$ có số đo $60^circ$.
D. $BD perp (SAC)$.
Lời giải:
- Trong tam giác $ABC$, $IJ$ là đường trung bình nên $IJ // AC$.
- Trong tam giác $SAB$, $IK$ là đường trung bình nên $IK // SA$.
- Vì $IJ // AC$ và $IK // SA$, nên mặt phẳng $(IJK)$ song song với mặt phẳng $(SAC)$. Vậy A đúng.
- Ta có $BD perp AC$ (tính chất hình vuông).
- Vì $SA perp (ABCD)$, nên $SA perp BD$.
- Do $BD perp AC$ và $BD perp SA$, và $AC, SA$ cắt nhau tại $A$, nên $BD perp (SAC)$. Vậy D đúng.
- Vì $BD perp (SAC)$ và $(IJK) // (SAC)$, nên $BD perp (IJK)$. Vậy B đúng.
- Xét C: Góc giữa $SC$ và $BD$. Vì $BD perp (SAC)$, nên góc giữa $SC$ và $








