Nguyên hàm là một trong những chuyên đề quan trọng của chương trình Toán lớp 12, đóng vai trò nền tảng cho nhiều khái niệm khác như tích phân và ứng dụng của tích phân. Bài viết này sẽ cung cấp một cái nhìn tổng quan về nguyên hàm, từ định nghĩa, tính chất cơ bản đến các phương pháp tìm nguyên hàm hiệu quả, kèm theo ví dụ minh họa chi tiết, giúp học sinh củng cố kiến thức và chuẩn bị tốt cho kỳ thi Tốt nghiệp THPT.
I. Lý Thuyết Cơ Bản Về Nguyên Hàm
1. Định Nghĩa Nguyên Hàm
Trong toán học, nguyên hàm của một hàm số $f(x)$ trên một khoảng $K$ là một hàm số $F(x)$ có đạo hàm trên $K$ và thỏa mãn $F'(x) = f(x)$ với mọi $x$ thuộc $K$. Nếu $F(x)$ là một nguyên hàm của $f(x)$, thì họ tất cả các nguyên hàm của $f(x)$ trên $K$ được ký hiệu là $int f(x)dx = F(x) + C$, trong đó $C$ là một hằng số tùy ý.
2. Tính Chất Của Nguyên Hàm
Nguyên hàm có những tính chất quan trọng sau đây:
- $(int f(x)dx)’ = f(x)$: Đạo hàm của một họ nguyên hàm chính là hàm số ban đầu.
- $int f'(x)dx = f(x) + C$: Nguyên hàm của đạo hàm của một hàm số là chính hàm số đó cộng với một hằng số.
- $int kf(x)dx = kint f(x)dx$, với $k neq 0$: Hằng số có thể đưa ra ngoài dấu nguyên hàm.
- $int [f(x) pm g(x)]dx = int f(x)dx pm int g(x)dx$: Nguyên hàm của tổng hoặc hiệu bằng tổng hoặc hiệu của các nguyên hàm.
3. Sự Tồn Tại Của Nguyên Hàm
Một định lý quan trọng khẳng định rằng mọi hàm số liên tục trên một khoảng $K$ đều có nguyên hàm trên khoảng đó. Điều này đảm bảo rằng chúng ta luôn có thể tìm được nguyên hàm cho hầu hết các hàm số thường gặp trong chương trình.
4. Bảng Nguyên Hàm Cơ Bản
Việc ghi nhớ bảng nguyên hàm của các hàm số sơ cấp là vô cùng cần thiết để giải bài tập. Dưới đây là một số công thức nguyên hàm cơ bản:
| Nguyên hàm của hàm số sơ cấp | Nguyên hàm của hàm số hợp (u = u(x)) |
|---|---|
II. Phương Pháp Tìm Nguyên Hàm
Có hai phương pháp chính để tìm nguyên hàm: phương pháp dùng định nghĩa và tính chất, và phương pháp đổi biến số, phương pháp từng phần.
1. Phương Pháp Dùng Định Nghĩa Và Tính Chất
Phương pháp này chủ yếu áp dụng cho các bài toán nguyên hàm cơ bản, đòi hỏi học sinh biến đổi biểu thức dưới dấu nguyên hàm về dạng tổng, hiệu của các biểu thức có trong bảng nguyên hàm.
Ví dụ minh họa:
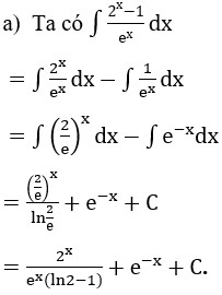
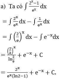
Bài 1: Tìm nguyên hàm của hàm số $f(x) = x^2 + frac{1}{x^2}$.
Lời giải:
Ta có:
$int (x^2 + frac{1}{x^2})dx = int x^2 dx + int frac{1}{x^2} dx$
$= frac{x^3}{3} + (-frac{1}{x}) + C$
$= frac{x^3}{3} – frac{1}{x} + C$
Bài 2: Tìm nguyên hàm của hàm số $f(x) = (2x+1)^3$.
Lời giải:
Đặt $u = 2x+1$, ta có $du = 2dx$, hay $dx = frac{1}{2}du$.
Khi đó:
$int (2x+1)^3 dx = int u^3 frac{1}{2} du = frac{1}{2} int u^3 du$
$= frac{1}{2} frac{u^4}{4} + C = frac{1}{8} u^4 + C$
Thay $u = 2x+1$ vào, ta được:
$frac{1}{8}(2x+1)^4 + C$
Kết quả:
$int (2x+1)^3 dx = frac{1}{8}(2x+1)^4 + C$
Minh họa cách tìm nguyên hàm
Minh họa cách tìm nguyên hàm
2. Tìm Nguyên Hàm Bằng Phương Pháp Đổi Biến Số
Phương pháp đổi biến số rất hữu ích khi biểu thức dưới dấu nguyên hàm không thuộc dạng cơ bản.
Các dạng đặt ẩn phụ thường gặp:
| STT | Dạng tích phân | Cách đặt | Đặc điểm nhận dạng |
|---|---|---|---|
| 1 | $int frac{f'(x)}{f(x)}dx$ | $t = f(x)$ | Biểu thức dưới mẫu |
| 2 | $int f(ax+b)dx$ | $t = ax+b$ | Biểu thức ở phần số mũ |
| 3 | $int [f(x)]^n f'(x)dx$ | $t = f(x)$ | Biểu thức trong dấu ngoặc lũy thừa |
| 4 | $int sqrt{ax+b} dx$ hoặc $int frac{1}{sqrt{ax+b}} dx$ | $t = sqrt{ax+b}$ hoặc $t^2 = ax+b$ | Căn thức |
| 5 | $int frac{f(ln x)}{x} dx$ | $t = ln x$ | $dx/x$ đi kèm biểu thức theo $ln x$ |
| 6 | $int sin^m x cos^n x dx$ | $t = sin x$ hoặc $t = cos x$ | Lũy thừa của sin và cos |
| 7 | $int frac{f(e^x)}{e^x} dx$ | $t = e^x$ | $e^x dx$ đi kèm biểu thức theo $e^x$ |
Ví dụ minh họa:
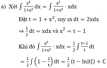
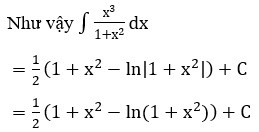
Bài 1: Tìm các họ nguyên hàm sau đây: $int frac{x}{sqrt{1+x^2}}dx$ và $int frac{dx}{xsqrt{x^2+1}}$.
Lời giải:
-
Với $int frac{x}{sqrt{1+x^2}}dx$: Đặt $t = sqrt{1+x^2} Rightarrow t^2 = 1+x^2 Rightarrow 2t dt = 2x dx Rightarrow t dt = x dx$.
Nguyên hàm trở thành $int frac{t dt}{t} = int dt = t + C = sqrt{1+x^2} + C$. -
Với $int frac{dx}{xsqrt{x^2+1}}$: Đặt $t = sqrt{x^2+1} Rightarrow t^2 = x^2+1 Rightarrow 2t dt = 2x dx$.
Ta có $x = sqrt{t^2-1}$.
Nguyên hàm trở thành $int frac{1}{sqrt{t^2-1} cdot t} cdot frac{t dt}{sqrt{t^2-1}} = int frac{dt}{t^2-1}$.
$int frac{dt}{t^2-1} = int frac{1}{2}(frac{1}{t-1} – frac{1}{t+1})dt = frac{1}{2}(ln|t-1| – ln|t+1|) + C = frac{1}{2}ln|frac{t-1}{t+1}| + C$.
Thay $t = sqrt{x^2+1}$ vào, ta được: $frac{1}{2}ln|frac{sqrt{x^2+1}-1}{sqrt{x^2+1}+1}| + C$.
Minh họa đổi biến số
Minh họa đổi biến số
Minh họa đổi biến số
Bài 2: Tìm các họ nguyên hàm sau đây: $int frac{1}{sqrt{x^2+1}}dx$ và $int frac{1}{xsqrt{x^2+1}}dx$.
Lời giải:
-
Với $int frac{1}{sqrt{x^2+1}}dx$: Đặt $t = ln(x+sqrt{x^2+1})$.
Ta có $dt = frac{1+frac{x}{sqrt{x^2+1}}}{x+sqrt{x^2+1}}dx = frac{frac{sqrt{x^2+1}+x}{sqrt{x^2+1}}}{x+sqrt{x^2+1}}dx = frac{1}{sqrt{x^2+1}}dx$.
Vậy nguyên hàm là $t+C = ln(x+sqrt{x^2+1}) + C$. -
Với $int frac{1}{xsqrt{x^2+1}}dx$: Đặt $t = frac{1}{x} Rightarrow dt = -frac{1}{x^2}dx$.
Ta có $sqrt{x^2+1} = sqrt{frac{1}{t^2}+1} = frac{sqrt{1+t^2}}{|t|}$.
Nguyên hàm trở thành $int frac{1}{1/t cdot sqrt{1+t^2}/|t|} cdot (-frac{1}{t^2})dt = int frac{t}{sqrt{1+t^2}/|t|} cdot (-frac{1}{t^2})dt = int frac{|t|t}{sqrt{1+t^2}} cdot (-frac{1}{t^2})dt$.
Nếu $t>0$ (tức $x>0$): $int frac{t^2}{sqrt{1+t^2}} cdot (-frac{1}{t^2})dt = -int frac{1}{sqrt{1+t^2}}dt = -ln(t+sqrt{1+t^2}) + C = -ln(frac{1}{x}+sqrt{frac{1}{x^2}+1}) + C$.
Nếu $t<0$ (tức $x<0$): $int frac{-t^2}{sqrt{1+t^2}} cdot (-frac{1}{t^2})dt = int frac{1}{sqrt{1+t^2}}dt = ln(t+sqrt{1+t^2}) + C = ln(frac{1}{x}+sqrt{frac{1}{x^2}+1}) + C$.
Minh họa đổi biến số
Minh họa đổi biến số
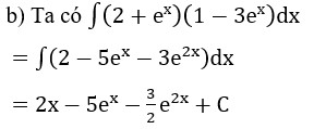
Bài 3: Tìm các họ nguyên hàm sau đây: $int frac{ln x}{x}dx$ và $int frac{1}{xln x}dx$.
Lời giải:
-
Với $int frac{ln x}{x}dx$: Đặt $t = ln x Rightarrow dt = frac{1}{x}dx$.
Nguyên hàm trở thành $int t dt = frac{t^2}{2} + C = frac{(ln x)^2}{2} + C$. -
Với $int frac{1}{xln x}dx$: Đặt $t = ln x Rightarrow dt = frac{1}{x}dx$.
Nguyên hàm trở thành $int frac{1}{t} dt = ln|t| + C = ln|ln x| + C$.
Minh họa đổi biến số
Minh họa đổi biến số
3. Tìm Nguyên Hàm Bằng Phương Pháp Từng Phần
Phương pháp này thường được áp dụng cho các bài toán tìm nguyên hàm của tích hoặc thương của hai hàm số “khác lớp”, sử dụng công thức: $int u dv = uv – int v du$.
Các trường hợp thường gặp:
- $int P(x)e^{ax+b}dx$
- $int P(x)sin(ax+b)dx$
- $int P(x)cos(ax+b)dx$
- $int P(x)ln(cx+d)dx$
- $int e^{ax+b}sin(cx+d)dx$
- $int e^{ax+b}cos(cx+d)dx$
Ví dụ minh họa:
Bài 1: Tìm họ nguyên hàm của hàm số:
a) $f(x) = xsin x$
b) $f(x) = e^x sin x$
Lời giải:
a) Xét $int xsin x dx$:
Đặt $u = x Rightarrow du = dx$.
Đặt $dv = sin x dx Rightarrow v = -cos x$.
Áp dụng công thức nguyên hàm từng phần:
$int xsin x dx = -xcos x – int (-cos x) dx = -xcos x + int cos x dx$
$= -xcos x + sin x + C$.
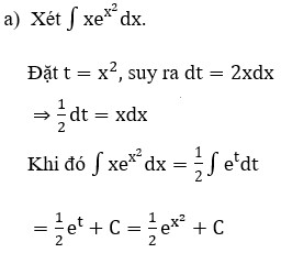
b) Xét $int e^x sin x dx$:
Đặt $u = sin x Rightarrow du = cos x dx$.
Đặt $dv = e^x dx Rightarrow v = e^x$.
$int e^x sin x dx = e^x sin x – int e^x cos x dx$. (1)
Tiếp tục áp dụng nguyên hàm từng phần cho $int e^x cos x dx$:
Đặt $u = cos x Rightarrow du = -sin x dx$.
Đặt $dv = e^x dx Rightarrow v = e^x$.
$int e^x cos x dx = e^x cos x – int e^x (-sin x) dx = e^x cos x + int e^x sin x dx$. (2)
Thay (2) vào (1):
$int e^x sin x dx = e^x sin x – (e^x cos x + int e^x sin x dx)$
$int e^x sin x dx = e^x sin x – e^x cos x – int e^x sin x dx$
$2int e^x sin x dx = e^x (sin x – cos x)$
$int e^x sin x dx = frac{1}{2} e^x (sin x – cos x) + C$.
Ghi nhớ: Đối với các nguyên hàm dạng $int e^{mx+n}sin(ax+b)dx$ hoặc $int e^{mx+n}cos(ax+b)dx$, ta thường thực hiện phương pháp nguyên hàm từng phần hai lần liên tiếp.
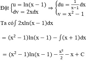
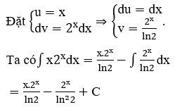
Bài 2: Tìm họ nguyên hàm của hàm số:
a) $int x cdot 2^x dx$
b) $int (x^2-1) e^x dx$
Lời giải:
a) Xét $int x cdot 2^x dx$:
Đặt $u = x Rightarrow du = dx$.
Đặt $dv = 2^x dx Rightarrow v = frac{2^x}{ln 2}$.
$int x cdot 2^x dx = x frac{2^x}{ln 2} – int frac{2^x}{ln 2} dx = x frac{2^x}{ln 2} – frac{1}{ln 2} int 2^x dx$
$= x frac{2^x}{ln 2} – frac{1}{ln 2} frac{2^x}{ln 2} + C = frac{2^x}{ln 2} (x – frac{1}{ln 2}) + C$.
Minh họa từng phần
b) Xét $int (x^2-1) e^x dx$:
Đặt $u = x^2-1 Rightarrow du = 2x dx$.
Đặt $dv = e^x dx Rightarrow v = e^x$.
$int (x^2-1) e^x dx = (x^2-1)e^x – int 2x e^x dx$.
Ta cần tính $int 2x e^x dx$:
Đặt $u’ = 2x Rightarrow du’ = 2dx$.
Đặt $dv’ = e^x dx Rightarrow v’ = e^x$.
$int 2x e^x dx = 2x e^x – int 2 e^x dx = 2x e^x – 2e^x$.
Thay vào biểu thức ban đầu:
$int (x^2-1) e^x dx = (x^2-1)e^x – (2x e^x – 2e^x) + C$
$= (x^2-1 – 2x + 2)e^x + C = (x^2-2x+1)e^x + C = (x-1)^2 e^x + C$.
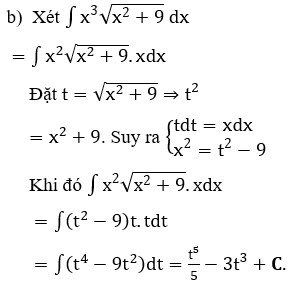
Bài 3: Tìm họ nguyên hàm của hàm số:
a) $int 2x ln(x-1)dx$
b) $int frac{ln x}{x^2}dx$
Lời giải:
a) Xét $int 2x ln(x-1)dx$:
Đặt $u = ln(x-1) Rightarrow du = frac{1}{x-1}dx$.
Đặt $dv = 2x dx Rightarrow v = x^2$.
$int 2x ln(x-1)dx = x^2 ln(x-1) – int x^2 frac{1}{x-1} dx$.
Ta cần tính $int frac{x^2}{x-1} dx$:
Thực hiện phép chia đa thức hoặc biến đổi: $frac{x^2}{x-1} = frac{x^2-1+1}{x-1} = frac{(x-1)(x+1)+1}{x-1} = x+1+frac{1}{x-1}$.
$int frac{x^2}{x-1} dx = int (x+1+frac{1}{x-1})dx = frac{x^2}{2} + x + ln|x-1| + C$.
Vậy:
$int 2x ln(x-1)dx = x^2 ln(x-1) – (frac{x^2}{2} + x + ln|x-1|) + C$
$= (x^2-1)ln(x-1) – frac{x^2}{2} – x + C$.
Minh họa từng phần
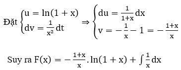
b) Xét $int frac{ln x}{x^2}dx$:
Đặt $u = ln x Rightarrow du = frac{1}{x}dx$.
Đặt $dv = frac{1}{x^2}dx Rightarrow v = -frac{1}{x}$.
$int frac{ln x}{x^2}dx = -frac{ln x}{x} – int (-frac{1}{x}) frac{1}{x}dx = -frac{ln x}{x} + int frac{1}{x^2}dx$
$= -frac{ln x}{x} – frac{1}{x} + C = -frac{ln x + 1}{x} + C$.
Minh họa từng phần
III. Lời Khuyên Ôn Tập
Để nắm vững chuyên đề nguyên hàm, học sinh cần:
- Nắm chắc định nghĩa, tính chất và các công thức trong bảng nguyên hàm cơ bản.
- Thực hành giải nhiều dạng bài tập khác nhau, từ cơ bản đến nâng cao.
- Phân biệt rõ khi nào nên sử dụng phương pháp đổi biến số, khi nào nên dùng phương pháp từng phần.
- Kiểm tra lại kết quả bằng cách lấy đạo hàm.
Chúc các bạn học tốt và đạt kết quả cao trong kỳ thi!








