Trong toán học, giá trị tuyệt đối của một số là một khái niệm quen thuộc nhưng cũng đầy thú vị, đặc biệt là đối với số âm. Việc nắm vững cách tính và các tính chất của giá trị tuyệt đối không chỉ giúp giải quyết các bài toán cơ bản mà còn mở ra nhiều ứng dụng thực tế trong các lĩnh vực khác nhau. Bài viết này sẽ đi sâu vào định nghĩa, tính chất, các dạng toán thường gặp và cách tính giá trị tuyệt đối một cách hiệu quả, đặc biệt là sử dụng máy tính cầm tay.
Trị tuyệt đối là khái niệm phổ biến trong toán học
TÓM TẮT
Định Nghĩa Giá Trị Tuyệt Đối
Giá trị tuyệt đối của một số thực x, ký hiệu là |x|, được định nghĩa là khoảng cách từ số đó đến số 0 trên trục số. Một đặc điểm quan trọng của giá trị tuyệt đối là nó luôn không âm. Cụ thể:
- Nếu $x ge 0$ thì $|x| = x$.
- Nếu $x < 0$ thì $|x| = -x$.
Hiểu một cách trực quan, hãy tưởng tượng bạn đang đứng tại điểm 0 trên trục số. Giá trị tuyệt đối của bất kỳ số nào trên trục đều đo lường khoảng cách từ vị trí của bạn (số 0) đến vị trí của số đó, bất kể số đó là dương hay âm.
Ví dụ:
- $|3| = 3$, vì số 3 cách điểm 0 đúng 3 đơn vị về phía dương.
- $|-3| = 3$, vì mặc dù số -3 nằm bên trái điểm 0, khoảng cách từ 0 đến -3 vẫn là 3 đơn vị.
Các Tính Chất Quan Trọng Của Giá Trị Tuyệt Đối
Những tính chất này đóng vai trò nền tảng trong việc biến đổi và giải các bài toán liên quan đến giá trị tuyệt đối, đặc biệt là khi làm việc với số âm:
- Không âm: Giá trị tuyệt đối của một số luôn lớn hơn hoặc bằng 0, tức là $|x| ge 0$ với mọi số thực x.
- Bằng 0 khi số bằng 0: $|x| = 0$ khi và chỉ khi $x = 0$. Đây là trường hợp duy nhất để giá trị tuyệt đối đạt giá trị nhỏ nhất.
- Tích và thương: Giá trị tuyệt đối của một tích bằng tích các giá trị tuyệt đối: $|a cdot b| = |a| cdot |b|$. Tương tự, giá trị tuyệt đối của một thương bằng thương các giá trị tuyệt đối (với điều kiện mẫu số khác 0): $|frac{a}{b}| = frac{|a|}{|b|}$ (khi $b neq 0$).
- Bất đẳng thức tam giác: Tổng giá trị tuyệt đối của hai số luôn lớn hơn hoặc bằng giá trị tuyệt đối của tổng hai số đó: $|a + b| le |a| + |b|$. Đây là một nguyên lý quan trọng trong nhiều lĩnh vực toán học.
- Hiệu: Hiệu giá trị tuyệt đối của hai số luôn lớn hơn hoặc bằng giá trị tuyệt đối của hiệu hai số đó: $|a – b| ge ||a| – |b||$.
Tính chất của giá trị tuyệt đối
Các Dạng Toán Thường Gặp Liên Quan Đến Giá Trị Tuyệt Đối
Việc áp dụng linh hoạt các định nghĩa và tính chất là chìa khóa để giải quyết các bài toán về giá trị tuyệt đối. Dưới đây là một số dạng toán phổ biến:
1. Tính Giá Trị Tuyệt Đối Của Một Số
Đây là dạng toán cơ bản nhất, yêu cầu áp dụng trực tiếp định nghĩa để tìm giá trị $|x|$.
- Ví dụ: Tính $|-7|$. Vì $-7 < 0$, nên $|-7| = -(-7) = 7$. Tương tự, $|5| = 5$ vì $5 ge 0$.
Tính giá trị tuyệt đối của một số
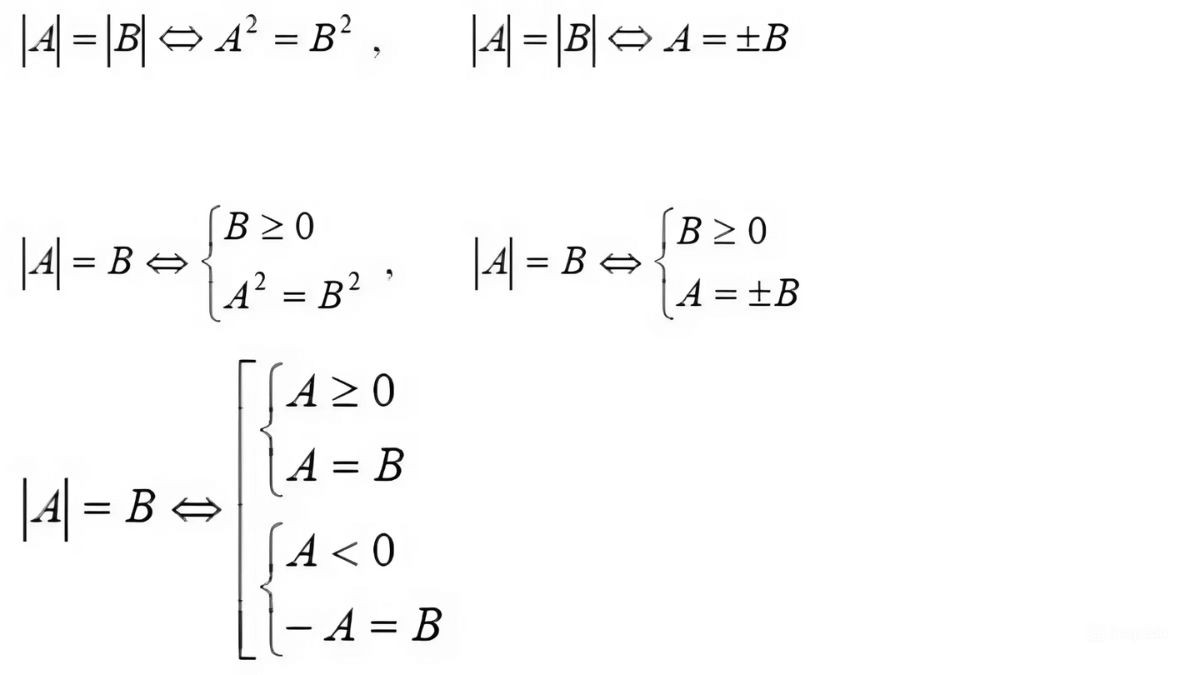
2. Phương Trình Chứa Giá Trị Tuyệt Đối
Phương trình có dạng $|f(x)| = a$ (với $a ge 0$) thường được giải bằng cách chia thành hai trường hợp: $f(x) = a$ hoặc $f(x) = -a$.
- Ví dụ: Giải phương trình $|x – 2| = 3$.
- Trường hợp 1: $x – 2 = 3 implies x = 5$.
- Trường hợp 2: $x – 2 = -3 implies x = -1$.
Vậy, phương trình có hai nghiệm là $x = -1$ hoặc $x = 5$.
Dạng phương trình giá trị tuyệt đối
3. Phương Trình Chứa Nhiều Dấu Giá Trị Tuyệt Đối
Khi có nhiều biểu thức chứa dấu giá trị tuyệt đối, phương pháp phổ biến là xét dấu các biểu thức bên trong dấu ngoặc vuông trên trục số. Điều này đòi hỏi chia trục số thành các khoảng và giải phương trình trong từng khoảng.
- Ví dụ: Giải phương trình $|x – 1| + |x – 3| = 4$.
- Ta chia trục số thành các khoảng: $x < 1$, $1 le x < 3$, và $x ge 3$.
- Giải phương trình trong từng khoảng và sau đó hợp các nghiệm lại. Quá trình này cần sự cẩn thận để không bỏ sót trường hợp.
Phương trình nhiều dấu trị tuyệt đối yêu cầu người giải phải cẩn thận
4. Bất Phương Trình Chứa Giá Trị Tuyệt Đối
Đối với bất phương trình $|f(x)| le a$ (với $a ge 0$), ta có thể biến đổi thành $-a le f(x) le a$.
Nếu là $|f(x)| ge a$, ta xét hai trường hợp: $f(x) ge a$ hoặc $f(x) le -a$.
- Ví dụ: Giải bất phương trình $|2x – 1| le 3$.
- Áp dụng quy tắc: $-3 le 2x – 1 le 3$.
- Cộng 1 vào cả ba vế: $-2 le 2x le 4$.
- Chia cho 2: $-1 le x le 2$.
Vậy, nghiệm của bất phương trình là $-1 le x le 2$.
Dạng bài bất phương trình có nhiều bài toán hóc búa
5. Tìm Giá Trị Lớn Nhất, Nhỏ Nhất Của Biểu Thức
Các bài toán tìm giá trị lớn nhất hoặc nhỏ nhất của biểu thức chứa giá trị tuyệt đối thường khai thác tính chất bất đẳng thức tam giác hoặc xét các trường hợp cụ thể.
- Ví dụ: Tìm giá trị nhỏ nhất của biểu thức $|x – 3| + |x – 5|$.
- Theo bất đẳng thức tam giác, $|x – 3| + |x – 5| = |x – 3| + |5 – x| ge |(x – 3) + (5 – x)| = |2| = 2$.
- Dấu “=” xảy ra khi $(x – 3)$ và $(5 – x)$ cùng dấu hoặc một trong hai bằng 0. Điều này xảy ra khi $3 le x le 5$.
- Vậy, giá trị nhỏ nhất của biểu thức là 2.
Dạng tìm giá trị lớn nhất, nhỏ nhất của biểu thức
Sử Dụng Máy Tính Cầm Tay Để Tính Giá Trị Tuyệt Đối
Trong các kỳ thi hoặc khi cần tính toán nhanh, máy tính cầm tay là công cụ đắc lực. Hầu hết các dòng máy tính khoa học phổ biến đều hỗ trợ chức năng tính giá trị tuyệt đối.
- Bước 1: Khởi động máy tính và đảm bảo không có cài đặt ẩn nào ảnh hưởng đến phép tính.
- Bước 2: Tìm và sử dụng phím chức năng giá trị tuyệt đối. Trên máy Casio, phím này thường là
|x|hoặc có thể truy cập quaSHIFT + (-). - Bước 3: Nhập biểu thức hoặc số bạn cần tính vào giữa dấu giá trị tuyệt đối và nhấn phím bằng (=) để nhận kết quả.
Cách tính giá trị tuyệt đối nhanh bằng máy tính cầm tay
Dùng máy tính tính trị tuyệt đối nhanh chóng
Cách tính giá trị tuyệt đối nhanh bằng máy tính cầm tay
- Ví dụ thực tế: Tính $|-8 + 5|$. Nhập biểu thức
-8 + 5vào giữa dấu giá trị tuyệt đối, máy tính sẽ cho kết quả là $|-3| = 3$.
Hiểu rõ định nghĩa, tính chất và các dạng toán của giá trị tuyệt đối, kết hợp với mẹo sử dụng máy tính cầm tay, sẽ giúp bạn tự tin chinh phục mọi bài toán liên quan đến khái niệm quan trọng này trong toán học.








