Trong hành trình chinh phục môn Toán lớp 10, các công thức lượng giác đóng vai trò là nền tảng cốt lõi, theo sát học sinh xuyên suốt bậc THPT và là chìa khóa cho nhiều dạng bài tập từ kiểm tra học kỳ, thi tốt nghiệp THPT đến các kỳ thi đánh giá năng lực. Hiểu rõ tầm quan trọng này, Butbi.hocmai.vn mang đến bài tổng hợp chi tiết về các công thức lượng giác lớp 10, từ cơ bản đến nâng cao, cùng những bí quyết ghi nhớ hiệu quả, giúp các em học sinh tiếp cận và nắm vững kiến thức một cách dễ dàng nhất.
Công thức lượng giác lớp 10 cần nhớ
TÓM TẮT
- 1 I. Công thức cộng lượng giác Lớp 10
- 2 II. Công thức các cung liên kết trên đường tròn lượng giác
- 3 III. Công thức nhân lượng giác
- 4 IV. Công thức hạ bậc lượng giác
- 5 V. Công thức biến đổi tổng thành tích
- 6 VI. Công thức biến đổi tích thành tổng
- 7 VII. Nghiệm phương trình lượng giác lớp 10
- 8 VIII. Dấu của các giá trị lượng giác
- 9 IX. Bảng giá trị lượng giác một số góc đặc biệt
- 10 X. Công thức lượng giác nâng cao (bổ sung)
- 11 XI. Bài thơ giúp ghi nhớ công thức lượng giác
I. Công thức cộng lượng giác Lớp 10
Đây là nhóm công thức cơ bản, là tiền đề để suy ra nhiều công thức quan trọng khác.
Công thức lượng giác lớp 10 cơ bản
Công thức cộng lượng giác chi tiết:
- Sin(a ± b) = sin a cos b ± cos a sin b
- Cos(a ± b) = cos a cos b ∓ sin a sin b
- Tan(a ± b) = (tan a ± tan b) / (1 ∓ tan a tan b)
Mẹo ghi nhớ:
- “Sin thì sin cos cos sin” (với dấu giữ nguyên).
- “Cos thì cos cos sin sin, đổi dấu liền” (cos(a+b) dùng dấu trừ, cos(a-b) dùng dấu cộng).
- “Tan tổng thì lấy tổng tan, chia mẫu một trừ tích tan” (với tan(a+b)). Với tan(a-b), đổi dấu ở cả tử và mẫu.
II. Công thức các cung liên kết trên đường tròn lượng giác
Các công thức này giúp liên hệ giá trị lượng giác của các cung có quan hệ đặc biệt với nhau.
- Hai góc đối nhau (-x): cos(-x) = cos x, sin(-x) = -sin x, tan(-x) = -tan x, cot(-x) = -cot x.
- Hai góc bù nhau (π – x): sin(π – x) = sin x, cos(π – x) = -cos x, tan(π – x) = -tan x, cot(π – x) = -cot x.
- Hai góc phụ nhau (π/2 – x): sin(π/2 – x) = cos x, cos(π/2 – x) = sin x, tan(π/2 – x) = cot x, cot(π/2 – x) = tan x.
- Hai góc hơn kém π (π + x): sin(π + x) = -sin x, cos(π + x) = -cos x, tan(π + x) = tan x, cot(π + x) = cot x.
- Hai góc hơn kém π/2 (π/2 + x): sin(π/2 + x) = cos x, cos(π/2 + x) = -sin x, tan(π/2 + x) = -cot x, cot(π/2 + x) = -tan x.
Mẹo ghi nhớ: “Cos đối, sin bù, phụ chéo, tan hơn kém pi”.
III. Công thức nhân lượng giác
Nhóm công thức này suy ra từ công thức cộng, đặc biệt khi hai góc bằng nhau (a=b).
1. Công thức nhân đôi:
Công thức nhân đôi lượng giác 10
- sin(2x) = 2 sin x cos x
- cos(2x) = cos²x – sin²x = 2cos²x – 1 = 1 – 2sin²x
- tan(2x) = (2 tan x) / (1 – tan²x)
2. Công thức nhân ba:
Công thức nhân ba lượng giác 10
- sin(3x) = 3 sin x – 4 sin³x
- cos(3x) = 4 cos³x – 3 cos x
- tan(3x) = (3 tan x – tan³x) / (1 – 3 tan²x)
3. Công thức nhân bốn (và cao hơn):
Công thức nhân bốn lượng giác 10
Các công thức nhân bậc cao hơn thường được suy ra từ các công thức cơ bản hoặc sử dụng các phương pháp khác.
IV. Công thức hạ bậc lượng giác
Giúp đưa các biểu thức bậc hai về bậc nhất.
Công thức hạ bậc lượng giác lớp 10
- sin²x = (1 – cos(2x)) / 2
- cos²x = (1 + cos(2x)) / 2
- tan²x = (1 – cos(2x)) / (1 + cos(2x))
V. Công thức biến đổi tổng thành tích
Chuyển đổi tổng hoặc hiệu của các giá trị lượng giác thành tích.
Công thức biến tổng thành tích lượng giác 10
- cos a + cos b = 2 cos((a+b)/2) cos((a-b)/2)
- cos a – cos b = -2 sin((a+b)/2) sin((a-b)/2)
- sin a + sin b = 2 sin((a+b)/2) cos((a-b)/2)
- sin a – sin b = 2 cos((a+b)/2) sin((a-b)/2)
Mẹo ghi nhớ:
- “Cos cộng cos bằng hai cos cos”.
- “Cos trừ cos bằng trừ hai sin sin”.
- “Sin cộng sin bằng hai sin cos”.
- “Sin trừ sin bằng hai cos sin”.
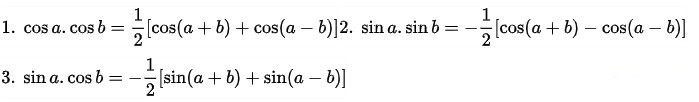
VI. Công thức biến đổi tích thành tổng
Ngược lại với công thức biến đổi tổng thành tích.
Công thức biến đổi tích thành tổng lượng giác lớp 10
- cos a cos b = 1/2 [cos(a-b) + cos(a+b)]
- sin a sin b = 1/2 [cos(a-b) – cos(a+b)]
- sin a cos b = 1/2 [sin(a+b) + sin(a-b)]
- cos a sin b = 1/2 [sin(a+b) – sin(a-b)]
Mẹo ghi nhớ:
- “Cos cos nửa cos cộng, cos trừ”.
- “Sin sin nửa cos trừ, cos cộng”.
- “Sin cos nửa sin cộng, sin trừ”.
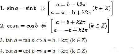
VII. Nghiệm phương trình lượng giác lớp 10
Phần này cung cấp các công thức nghiệm cơ bản cho các phương trình lượng giác thường gặp.
Nghiệm của Phương trình lượng giác 10 cơ bản
- sin x = sin α ⇔ x = α + k2π hoặc x = π – α + k2π (k ∈ Z)
- cos x = cos α ⇔ x = ±α + k2π (k ∈ Z)
- tan x = tan α ⇔ x = α + kπ (k ∈ Z)
- cot x = cot α ⇔ x = α + kπ (k ∈ Z)
Các trường hợp đặc biệt:
- sin x = 0 ⇔ x = kπ
- sin x = 1 ⇔ x = π/2 + k2π
- sin x = -1 ⇔ x = -π/2 + k2π
- cos x = 0 ⇔ x = π/2 + kπ
- cos x = 1 ⇔ x = k2π
- cos x = -1 ⇔ x = π + k2π
(Với k là số nguyên bất kỳ).
VIII. Dấu của các giá trị lượng giác
Bảng dưới đây tóm tắt dấu của sin, cos, tan, cot trong các góc phần tư trên đường tròn lượng giác.
| Góc phần tư | sin(x) | cos(x) | tan(x) | cot(x) |
|---|---|---|---|---|
| I | + | + | + | + |
| II | + | – | – | – |
| III | – | – | + | + |
| IV | – | + | – | – |
IX. Bảng giá trị lượng giác một số góc đặc biệt
Đây là những giá trị cơ bản cần ghi nhớ để giải nhanh các bài toán.
Bảng giá trị lượng giác lớp 10 một số góc đặc biệt
| Góc (x) | sin x | cos x | tan x | cot x |
|---|---|---|---|---|
| 0 | 0 | 1 | 0 | ∞ |
| π/6 | 1/2 | √3/2 | 1/√3 | √3 |
| π/4 | √2/2 | √2/2 | 1 | 1 |
| π/3 | √3/2 | 1/2 | √3 | 1/√3 |
| π/2 | 1 | 0 | ∞ | 0 |
(Lưu ý: ∞ biểu thị giá trị không xác định)
X. Công thức lượng giác nâng cao (bổ sung)
Công thức lượng giác 10 nâng cao (bổ sung)
Phần này bao gồm các công thức ít gặp hơn hoặc được suy ra từ các công thức cơ bản, hữu ích cho các bài toán phức tạp.
XI. Bài thơ giúp ghi nhớ công thức lượng giác
Để việc học thuộc lòng trở nên thú vị và hiệu quả hơn, dưới đây là những bài thơ tổng hợp các công thức quan trọng:
1. Công thức cộng lượng giác:
- Cos cộng cos bằng hai cos cos.
- Cos trừ cos bằng trừ hai sin sin.
- Sin cộng sin bằng hai sin cos.
- Sin trừ sin bằng hai cos sin.
- Sin thì sin cos cos sin.
- Cos thì cos cos sin sin đổi dấu.
- Tan tổng thì lấy tổng tan, chia một trừ tích tan dễ làm.
Tan(x+y)=?
- “Tan hai tổng hai tầng cao rộng,
- Trên tầng tan cộng cùng tan,
- Dưới mẫu một trừ tích tan ngang tàng.”
2. Bảng giá trị cung liên kết:
- “Cos đối, sin bù, phụ chéo, tan hơn kém pi.”
3. Biến đổi tích thành tổng:
- “Cos cos nửa cos cộng, cos trừ.”
- “Sin sin nửa cos trừ, cos cộng.”
- “Sin cos nửa sin cộng, sin trừ.”
4. Biến đổi tổng thành tích:
- “Sin tổng lập tổng sin cô.” (sin a + sin b = 2 sin((a+b)/2)cos((a-b)/2))
- “Cô tổng lập hiệu đôi cô đôi chàng.” (cos a + cos b = 2 cos((a+b)/2)cos((a-b)/2); cos a – cos b = -2 sin((a+b)/2)sin((a-b)/2))
- “Tan tổng lập tổng hai tan, chia một trừ tích tan, dễ làm.” (tan x + tan y = sin(x+y) / cos x cos y)
5. Công thức nhân đôi:
- “Sin gấp đôi bằng hai sin cos.”
- “Cos gấp đôi bằng bình phương cos trừ đi bình sin.” (cos(2x) = cos²x – sin²x)
- “Hoặc bằng hai cos bình trừ một.” (cos(2x) = 2cos²x – 1)
- “Hoặc bằng một trừ hai sin bình.” (cos(2x) = 1 – 2sin²x)
- “Tan gấp đôi bằng hai tan chia một trừ bình tan.” (tan(2x) = 2tan x / (1-tan²x))
Hy vọng với bộ công thức lượng giác lớp 10 đầy đủ và các mẹo ghi nhớ trên đây, các bạn học sinh sẽ cảm thấy việc học và ôn tập trở nên nhẹ nhàng, hiệu quả hơn. Hãy luyện tập thường xuyên để nắm vững kiến thức và áp dụng thành công vào các bài tập nhé!










